논문 전문 : https://ieeexplore.ieee.org/document/8603757
[출처] D. Anseán et al., "Lithium-Ion Battery Degradation Indicators Via Incremental Capacity Analysis," in IEEE Transactions on Industry Applications, vol. 55, no. 3, pp. 2992-3002, May-June 2019, doi: 10.1109/TIA.2019.2891213.
※ The picture and content of this article are from the original paper.
[논문 요약]
Lithium-Ion Battery Degradation Indicators Via Incremental Capacity Analyis
ICA에 관해 아주 잘 정리된 논문입니다.
개인적으론 이제까지 읽은 수많은 ICA 논문 중, 세손가락 안에 꼽을 정도입니다.
소고기같은 비싼 음식처럼 특별한 인사이트가 있다기보단 평범한 메뉴만으로도 아주 맛있게 정리를 잘해놓은 논문입니다.
Contents
ICA를 통해 Degradation을 추정하는 논문입니다.
여타 논문과 같이 Peak들의 Height, Width 혹은 PA라고 하여 ICA의 면적 분석을 통해 열화정도와의 상관관계를 추정합니다.

이 논문이 아주 맛있는 점은 상기와 같이 ICA의 구간 하나하나 숫자를 매겨가며 각각을 적분해보고, 전기화학적 영향성에 대해 잘 정리해놓았습니다.
Cycle을 돌리면서 어떻게 변해가는지, LAM은 어떤 Peak/구간에 어떤 영향을 주는지, LLI는 어떤영향을 주는지 극단적으로 LAM은 없고 LLI만 있는 경우는 ICA가 어떻게 그려지는지.. 상세하게 실험을 통해 그려놓았습니다.

그려놓은 그림만 봐도 아주 정성이 가득합니다.
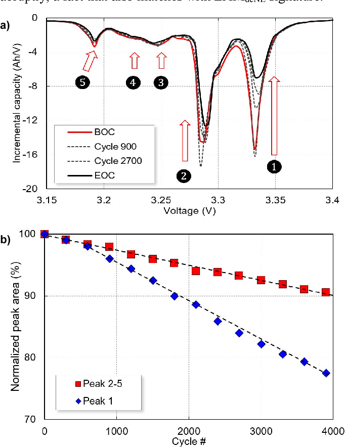
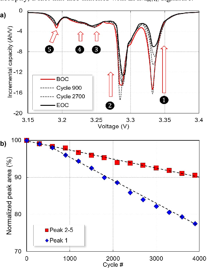
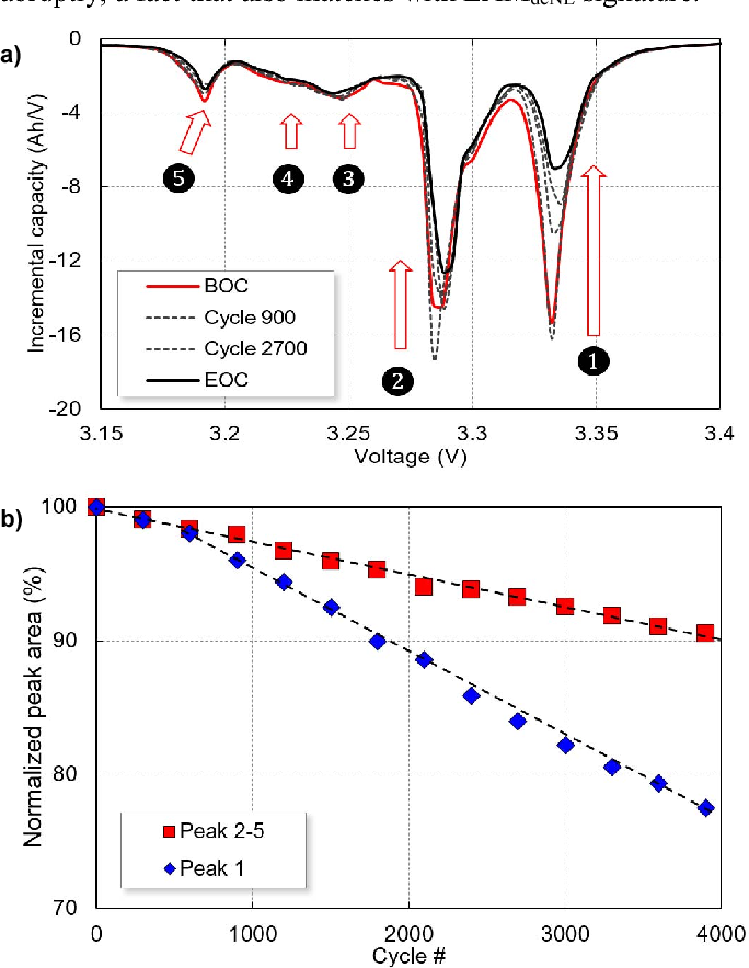
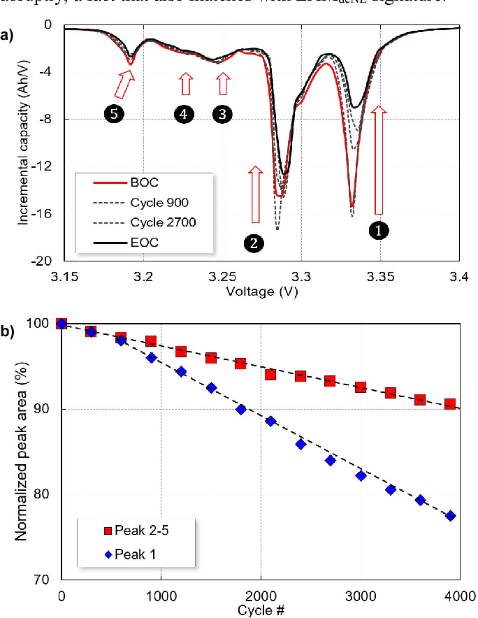
1번 영역이 높은 SOC영역대인데 이 구간에서는 LLI에 의한 그래프 변화가 가장 크다고합니다.
반대로 2번~5번 파란색 색칠해놓은 구간은 Negative Electrode LAM의 영향이 가장 크다고합니다.
그 이유는, 아주 간단하게 생각해볼 수 있습니다. 충전중이라고 가정하면 높은 SOC 구간에서 이미 Negative Electrode쪽에는 리튬이 포화된 상태입니다. 즉 리튬이 충분히 많아야 하는 상황인데 LLI에 의해 리튬이 충분하지 않다면 그 영향성이 즉각적으로 눈에보이게 될것입니다.
2~5번은 이렇게 생각해볼 수 있습니다. 50%이하의 SOC에 해당하는 구간이면 Negative Electrode쪽에는 리튬이 Intercalation될 자리가 남아돕니다. 하지만 Negative Electrode의 활물질에 문제가 생기거나 Structure가 붕괴되면 리튬이 Intercalation되는데 문제가 생길겁니다. 그러면 ICA 커브로도 그게 눈으로 명확히 보이게 됩니다.
반대로, 낮은 SOC대역에서는 LLI에 대해 고민할 필요가 없습니다. 그 이유는, 물론 영향성이 0은 아니겠지만 LLI가 발생한것은 충전 기준 만충전 단계에서 가용한 리튬을 한계까지 써야지만 사라진 리튬의 정도가 눈에띄게 관측되기 때문입니다.

이것에 대해 그림으로 그려놓은것이 상기 그래프입니다.
파란색 그림은 1번 구간을 적분한 값이구요, 빨간색은 2~5번 피크 아래구간을 적분한 값입니다.
LLI와 LAM은 독립적으로 구분할 수 있는것은 아닙니다. 둘다 동시에 발생하기때문인데요, 보시다 시피 Cycle을 반복할수록 모든 Peak치가 낮아지는것을 확인할 수 있습니다.
하지만 논문의 해석대로라면 Peak1에 해당하는 Correlation이 높은 영향성은 LLI에 가깝고, Peak2~5에 해당하는 영향성은 LAM이 가깝습니다.
즉, 저자는 LLI에 의한 1번 Peak의 낮아짐을 Capacity Fading이라고 분석하고 있으며, 2~5는 Negative Electrode Active Material의 손실로 보고있는데, 아주아주아주 러프하게 저의 해석을 덧붙이자면 1번 Peak는 SOHc, 2번 Peak는 SOHr로 볼 수 있지않을까 생각합니다. (아주 러프하게 해석한 저의 개인적인 견해입니다. 이론적으로 맞는말은 아닙니다.)
그리고 이 논문의 하이라이트는 공개되지 않은 Table-1 그래프인데요
위의 그림들을 모두 하나하나 정성적으로 해석해서 Peak가 변동하는 정도에 따른 전기화학적 특성을 아주 예쁘게 표로 정리해놓았습니다.
Results
아주 정성들여 쓴 논문이였습니다.
ICA에 관해 입문하시는 분들이 보시기에 아주 좋을듯합니다.
해석도 명쾌하고, 아주 세심하게 하나하나 직접 실험하여 결과를 정리해놓았습니다.
ICA쪽 관심 있으신 분은 꼭 한번 읽어보시길 권장드리겠습니다.
참조
[1] D. Anseán et al., "Lithium-Ion Battery Degradation Indicators Via Incremental Capacity Analysis," in IEEE Transactions on Industry Applications, vol. 55, no. 3, pp. 2992-3002, May-June 2019, doi: 10.1109/TIA.2019.2891213.
댓글