논문 전문 : https://www.sciencedirect.com/science/article/abs/pii/S0013468617307934
[출처] Nina Harting, Nicolas Wolff, Fridolin Röder, Ulrike Krewer,Nonlinear Frequency Response Analysis (NFRA) of Lithium-Ion Batteries,Electrochimica Acta,Volume 248,2017,Pages 133-139,ISSN 0013-4686, https://doi.org/10.1016/j.electacta.2017.04.037.
※ The picture and content of this article are from the original paper.
[논문 요약]
Nonlinear Frequency Response Analysis (NFRA) of Lithium-ion Batteries
이 논문은 너무 내용이 좋아서 ,2번에 나눠서 정리를 할까하다가 1편으로 요약하게되었습니다.
그정도로 내용적인 측면이나, 실험적인 측면 여러면에서 아주아주 만족스러운 논문이였습니다.
얼마나 마음에 들었냐면 이 논문은 정독을 3번했습니다. 종이로 출력한 논문이 너덜너덜해졌네요
일단 이 논문에 대해 탐독하기위해선, 신호처리에 대한 사전지식이 필요합니다. Fourier-Transform을 통한 Frequency Domain해석에 조금 경험이 있으신분들이 읽기좋습니다.
이게 찾아보니까 1저자 Nina Harting이라는 분의 박사 학위 논문이네요
하기 링크에 Free로 공개가 되어있습니다.
Purpose

Time Domain에서만 해석하던 이상셀이나, 발열, Aging과 같은 부분들을 Frequency Domain으로 넘겨 해석하는 논문입니다.
단순히 Fourier Transform(이하 FT)만 하는것은 아니고, NFRA라고하는 정말 복잡한 수학적으로 점철된 스킬을 쓰는데요
NFRA에 간단하게만 설명하자면, 별도의 변환 방법은 아니고 Fourier Transform의 결과물에 대해 해석하는 스킬입니다.
Fourier Trasnform은 일반적으로 선형시스템을 해석하는데 유용합니다. 그 이유는, Linear Algebra에서 "선형"의 정의상, Additivty와 Homogenity를 동시에 만족하는 시스템이기 때문인데요. Fourier Trasnform도 결국에는 시스템의 Input Frequency에 대해 Output Frequency가 어떻게 바뀔지에 대한 해석이기때문에 선형시스템 해석에 적합한 방식이라 보시면됩니다.
하지만 실제 세상에선 LTI(Linear Time Invariant)하고 Linear한 시스템은 거의없습니다.
아시다시피 배터리 또한 비선형/시변 시스템입니다. 따라서 단순히 Fourier Trasnform을 통해 Frequency Domain으로 넘겨서 주파수만 본다고 해결되진 않습니다.
크게 NFRA를 통한 해석방법은 3가지가 있습니다.
1. 고조파(Harmonics) : 비선형 시스템에서 Input frequency가 f라고 가정하면, Output Frequency로는 보통 n*f라 하여, 입력주파수의 정수배에 해당하는 많은 고조파 신호들이 나옵니다. 그 이유는 시스템 자체가 Additivity와 Homogenity를 만족하지 않기때문에, 입력주파수에 대한 시스템 출력 주파수들 간에 상호간 간섭도 일어나게 됩니다. 이 부분이 선형시스템과의 가장 큰 차이점이고, 본 논문에서도 집중하고 있는 부분입니다.

2. Distortion(왜곡 및 간섭) : 비선형 시스템에서는 입력 Frequency들에 대해 출력 Frequency들은 Independent하지 않습니다. 즉 고조파뿐만 아니라 메인 주파수들 간에도 상호간섭이 일어나게 되고, 신호의 왜곡이 발생하게 됩니다.
3. 선형화 : 비선형 시스템을 해석하기위한 가장 기본적인 테크닉이 선형화입니다. Extended Kalman Filter도 결국에는 매순간순간 미분을 통해 선형칼만필터를 하는 원리입니다. Jacobian이나 다양한 Linear Algebra의 테크닉들을 활용하여, 작동하는 포인트들 사이의 관계/미분을 통해 비선형 시스템을 선형화 하여 해석하는 방법이 있습니다.
아쉽게도 이 논문의 Figure들은 대부분 공개가 되어있지 않습니다.
따라서, 같은 저자가 쓴 다른 논문의 Figure를 일부 가져왔습니다. 참고문헌에는 [2]로 기재하였습니다.
Contents
위에서 NFRA에 대해 간략하게 정리를 했습니다.
이 논문의 요지는 이것입니다. NFRA를 통해서 배터리의 주파수 분석을 했을때, 상태를 잘 나타낼수있는가? 상태를 잘 나타낼수 있다면 판단 근거는 무엇인가?
이것에 대해 저자는 EIS의 결과를 Reference로 보고 NFRA의 결과값이 EIS측정값과 어떤 Correlation을 가지는지를 찾아 내어 배터리 현상을 연역적으로 규범하는것을 목표로합니다.

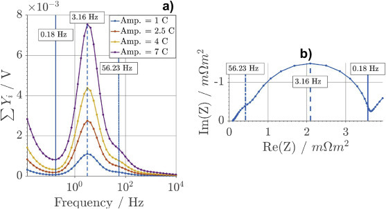
위의 이미지에서 Yi라는것이 시스템 출력 주파수의 Harmonics 주파수들에 대한 Amplitude(진폭)을 의미합니다.
말이 복잡한데요,
Fourier Transform이란 결국은, 특정 신호를 여러가지 주기함수의 합으로 표현하는것을 의미합니다.
이 각각의 주기함수들은 특정 신호를 잘모사하기 위한 다른 Weight가 곱해지구요. 여기서 이 Weight가 각 주기신호들의 Amplitude가 됩니다. (Coefficient 라고도 부름)
따라서 필자는 이 Coefficient가 각 상황들에 따라 얼마나 다르게 변하는지를 분석한 이후, 열화/ 발열의 정도와 같은 배터리의 상태를 추정하는데 사용할 수 있다고합니다.

필자가 이를 위해 인가하는 전류는 약 1.5C입니다.
여러 C-rate에 대해 테스트를 한 결과가 있는데, C-rate가 너무 낮으면 Coefficient 값들이 전부 낮게나오고, C-rate가 높을수록 고조파들의 Coefficient가 높게나와, 육안으로 분별을 할 수 있게됩니다.
상기 그림을 보면 Y2와 Y3외에는 거의 0에 수렴하는 Coefficient를 가지는데요, 이것을 통해 저자는 고조파 데이터중 가장 유의미한 정보를 얻을 수 있는 고조파의 n은 2/3이라고 합니다.
또한, 1Hz이하에서 Y2,Y3값을 통해 EIS의 Warburg Impedance부분인 'ia' 영역을 모사할 수 있다고합니다.

온도에 대해선 상기와 같은 결과를 가집니다.
온도가 낮을수록 Coefficient 값들이 큰것을 확인할 수 있는데요, 이 온도별 Coefficient들의 비율과 오른쪽 EIS Nyquist Plot에서 온도별 Warburg Impedance 시작부에 해당하는 저항의 비율이 비슷하다고 합니다.
즉, NFRA의 Coefficient가 높을수록 확산이 느리며, 저항이 크다는것을 의미합니다.
이것에 대한 전기화학적으로 자세한 설명은 논문에 되어있으나, 대부분 이런 결과 기반 원리 역 해석은 코에걸면 코걸이 귀에걸면 귀걸이입니다.
Results
아주 좋은 논문입니다. NFRA라는 스킬을 배터리에 적용한 첫 논문이고, 저자도 그것에 대해 어필하고있습니다.
결과도 잘나왔고, 직접 실험을 통해 이정도 데이터를 모두 뽑아내고 분석한것도 아주 대단합니다.
EIS가 배터리 상태 분석에 Powerful한것은 자명하나, SoC(System on Chip)으로 EIS가 된다는 업체들도 확인해봤는데, 딱히 양산에 적용할만한 퀄리티의 Nyquist Plot을 뽑아내진 못하는것 같습니다. 뿐만 아니라 EIS를 위한 Relaxation Time이 실제 양산 차량 조건에서 맞추어지기도 쉽지않고 워낙 Sensitive하기때문에 상황상황마다 값들이 일관성없이 흔들리기도하구요
Anyway, 최근 이런 신호처리기반으로 분석을 하는것에 꽤나 관심을 가지고 저도 연구를 준비하고있는데 그 시작단계로써 읽어보기에 아주 좋은 논문이였습니다.
참조
[1] Nina Harting, Nicolas Wolff, Fridolin Röder, Ulrike Krewer,Nonlinear Frequency Response Analysis (NFRA) of Lithium-Ion Batteries,Electrochimica Acta,Volume 248,2017,Pages 133-139,ISSN 0013-4686, https://doi.org/10.1016/j.electacta.2017.04.037.https://doi.org/10.1016/j.electacta.2017.12.097.
[2] Nicolas Wolff, Nina Harting, Marco Heinrich, Fridolin Röder, Ulrike Krewer,Nonlinear Frequency Response Analysis on Lithium-Ion Batteries: A Model-Based Assessment,Electrochimica Acta,Volume 260,2018,Pages 614-622,ISSN 0013-4686,https://doi.org/10.1016/j.electacta.2017.12.097.
댓글