논문 전문 : http://essay.utwente.nl/92550/
[출처] Jong, C.S. de (2022) Incremental capacity analysis on module level li-ion batteries for echelon utilization
[논문 요약]
Incremental Capacity Analysis on Module level Li-ion Batteries for Echelon Utilization
해당 논문은 네덜란드의 Twente라는 대학교 학부 학위 논문입니다.
학위 논문인걸 알고 본건 아니지만, 보다보니 워낙 오개념들이 많아서 이게 도대체 어디저널이야? 하고 보다가 BSc Thesis라 되어있더라구요.. 이 논문으로 ICA를 처음 접하시는 분들은 오개념이 쌓일 수 있으니 보시지 않으시길 권장드립니다.
Purpose
학부생이 썼다고해서 무시할만한 논문은 아닙니다. 다소 오개념이 많지만, 저자는 본인의 스탠스대로 실험을 진행했고 그 결과를 해석했습니다. 다만, 제가 보기에는 실험 세팅이나 저자가 지정한 변수 외에 다른 변인들이 워낙 많은 관계로 실험 결과가 다소 이상하게 나왔다고 생각합니다. 하지만 학부생이 썼다기에는 그래도 꽤나 잘 정리된 논문입니다.
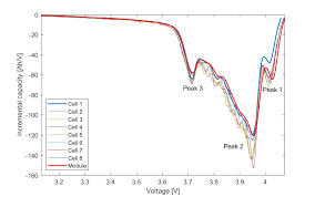
Different C-rate/SOH/Temperature별로 ICA 커브를 그려보고 LMO/NCM각 셀들의 ICA를 그리고 이들을 모듈로 만들어서 모듈별 ICA와 각 셀의 ICA의 차이를 비교합니다. 이정도 실험 스케일만 보면, 왠만한 학회지에 실릴만한 수준입니다.
Contents

저자는 주로 방전 전류 기준의 ICA를 보고있습니다.
따라서 저항이 커지거나 열화가되면 대체적으로 왼쪽으로 그래프의 개형이 Shifting되는 모습을 보입니다.
Peak Height는 낮아지는 쪽이구요, 하지만 저자는 본인의 실험 결과 열화가 된다고해서 반드시 Peak Height가 낮아지진 않으며, 오히려 높아지는 구간도 있다고합니다.
특히, 상기 표의 Peak3 같은 경우에는 실험결과 초기 열화시에는 Peak가 Decrease되다가 어느 임계점이후부터는 오히려 Increase했다고합니다.
이러한 부분들이 제가 생각하는 논문의 아쉬운점입니다. 제가 생각하기에는 실험 세팅이 잘못되었다던가 열화도를 잘못계산했다던가 하는 어떤 외부 변인들이 반드시 있을것 같습니다. Peak가 Decrease되다가 Increase될 수는 있으나, 이것을 전기화학적으로 설명하고 있지 않을 뿐 아니라 논문에도 "일반적인 상식으로는 Decrease 된다, 하지만 실험해보니 아니더라" 이렇게만 말하고 끝맺기 때문입니다.
따라서 저같이 그냥 논문을 읽는 사람은, 이사람의 실험 방식이나 이런것들이 잘못되었다고 볼수밖에 없습니다.
더군다나, 저의 이런 생각이 어느정도 합리적이라고 생각되는 부분은 저자가 맨 뒤의 Appendix에 ICA를 계산하는 매트랩 코드를 올려놓았는데, 이게 사실 연산 방식이 조금 잘못되었었습니다.

이런 이상한 포인트는 또 있습니다.
셀 단위의 ICA대비 모듈 단위의 ICA 그래프가 전체적으로 오른쪽으로 Shifting 되었다고하며, 그 이유는 셀간 직렬 연결에 의해 단 셀 보다 저항(ORI)이 높아졌기 때문이라고 합니다.
하지만, 이것은 잘못되었습니다. 저항이 높아진다면 방전 ICA기준으로는 ICA 그래프가 전체적으로 왼쪽으로 Shifting 되어야합니다. 이것은, 저와 같이 연구를 하는 ICA전문가도 공감했는데요, 이 논문은 일반적이지 않은, 본인의 실험 세팅법에 의해 발생할수 있는 문제가 있는 결과값들을 그대로 끼워맞추는식으로 쓴것 같다고합니다.
이게 좋은 저널과, 학위 논문이나 낮은 저널 논문의 차이인듯합니다.
그 현상이 왜 발생했는가? 이게 더 메인이 되어야하고, 그에 대한 연구가 논문이되어야하는데, 이런 논문들은 대부분 실험결과가 그렇게나왔다! 왜? 그건 나도모르지, 아마 이런거때문아닐까? 아님말고 이런식이기 때문입니다.
아무래도 이런식의 논문들은 좋은 저널에서 Accept 될수 없겠죠
제 생각에는 이 논문의 정리된 형식도 저널 논문과 비슷하나 끝내 개제되지 못하고 학위논문만 인터넷에 돌아다니는 이유가 이런게 아닐까 싶습니다.
이외 여러가지 실험데이터들도 상기와 마찬가지입니다.
열화가 되어도 Peak 2,3은 변하지않더라. Peak1은 변하는데 오히려 가장 열화된 셀들이 Peak가 가장높더라. 일반적인 상식과는 다르지만 실험결과가 그렇게 나오더라, 이런식으로 전개가됩니다.
Results
논문을 전개하는 방식에선 다소 아쉽지만, 그래도 저자가 직접 그것도 학부생임에도 불구하고 셀단/모듈단 여러 시험조건별로 실험을 직접 수행한게 기특했습니다.
직접 본인이 한건지, 지도교수가 다 해준건지는 잘모르겠으나.. 그래도 이런 논문을 쓰는 학부생이 있다는게 대견합니다.
다만, 지도교수가 그래도 컨펌은 해줬을텐데 (실제 Supervisior도 이름이 있음), 왜 이런 오개념이 잔뜩 잡힌 논문을 그냥 도장찍어준건진 모르겠습니다. 학부 졸업논문이라 누가 읽을줄 모르고 그냥 도장만 찍어줬거나, 이 교수가 이쪽 전문가가 아니지 않았을까..생각됩니다.
참조
[1] Jong, C.S. de (2022) Incremental capacity analysis on module level li-ion batteries for echelon utilization
댓글