논문 전문 : https://www.sciencedirect.com/science/article/abs/pii/S0013468617326609
[출처] Nicolas Wolff, Nina Harting, Marco Heinrich, Fridolin Röder, Ulrike Krewer, Nonlinear Frequency Response Analysis on Lithium-Ion Batteries: A Model-Based Assessment, Electrochimica Acta, Volume 260,2018,Pages 614-622, ISSN 0013-4686,https://doi.org/10.1016/j.electacta.2017.12.097.
※ The picture and content of this article are from the original paper.
[논문 요약]
Nonlinear Frequency Response Analysis on Lithium-Ion Batteries: A Model-Based Assesment
https://limitsinx.tistory.com/265
[Acta-2017] Nonlinear Frequency Response Analysis (NFRA) of Lithium-ion Batteries
논문 전문 : https://www.sciencedirect.com/science/article/abs/pii/S0013468617307934 [출처] Nina Harting, Nicolas Wolff, Fridolin Röder, Ulrike Krewer,Nonlinear Frequency Response Analysis (NFRA) of Lithium-Ion Batteries,Electrochimica Acta,Volume 24
limitsinx.tistory.com
이 전에 정리한 글과 동일한 저자의 NFRA에 관한 글입니다.
다만, 이 전에 정리한 논문은 실측데이터 기반이였다면 이번 논문은 1년후에 나온 논문으로써 P2D 전기화학 모델을 기반으로 NFRA를 하는 논문입니다.
Contents
Nina Harting라는 저자의 박사학위 논문도 NFRA에 관계된 것입니다.
NFRA가 어떤것인지는 이 전글에서 간략하게 소개를 했기에 본 글에서는 따로 정리하진 않겠습니다.
본 논문의 방식에서 가장 집중하는 부분은 Nonlinear System을 통과할때 주파수가 Harmonics 형태로 나온다는 점입니다.
즉, Input Current에 대해 Oscillation을 주면서 Voltage의 변화정도를 Frequency Domain으로 해석하는데, 이때 배터리는 비선형 시스템이기에 NFRA분석 중, Harmonics 주파수(Input Frequency에 정수배로 존재하는 형태의 주파수, 일상생활에서 소음진동공학으로 친다면 Howling으로 보시면 됩니다.)의 Coefficient(Amplitude)에 집중합니다.
Harmonics Frequency의 Amplitude중에서도 Y2, Y3라는 두세번째 고조파 Amplitude에 집중하여, 배터리의 전기화학적 특성을 추정합니다.
왜 하필 Y2,Y3냐면, Y1은 입력 주파수에 그대로 대응되는 주파수이기에 정보가 많이 없기때문이고, Y2n 즉 짝수배의 Y와 Y2n+1 즉 홀수배의 고조파 분석은 반드시필요합니다. 이때, Y2, Y3를 제외하곤 초고조파로 넘어가기에 Ampltidue가 아주 작아지게됩니다. 따라서, 가장 유의미한 주파수 대역임과 동시에 Amplitude 변화 관찰이 쉬운 Y2,Y3를 최종적으로 배터리 상태추정의 지표로 삼습니다.

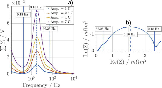
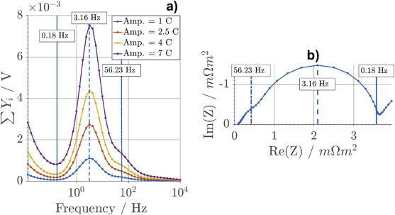
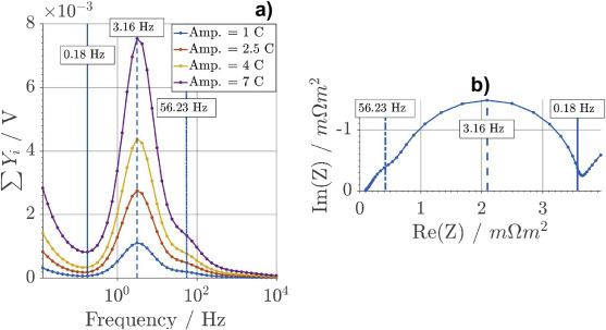
Y2,Y3의 Ampltidue를 비교하면서 주파수대역을 잘 나누어보니 저자는 0.18Hz, 3.16Hz, 56.23Hz에서 배터리의 상태를 추정할 수 있는 가장 많은 데이터가 있었다고합니다. 이 부분은 꽤나 큰 인사이트가 있었습니다.
또한, 저자는 EIS결과와 대응하면서 보여주는데, 위의 그림 (a)에서 보시다시피 C-rate가 높을수록 Harmonics의 Amplitude가 높아지는것을 확인할 수 있습니다. 이것을 과전압(Overpotential)에 의한 원인이라고 보고 있으며 차후 설명하는 Diffusion Coefficient 변화, Aging, Electrolyte Property, Electrode Property 연관 P2D 파라미터들에 대해 Negative하게 변하는 방향으로 줄수록 이 NFRA 고조파 Amplitude는 높게나옵니다.

여러가지 각각의 파라미터를 변경하며 검증을해놓았는데, 대표적으로 상기 한가지에 대해 보겠습니다.
Rc는 Cathode Active Material Particle Radius입니다. 즉, 양극재 활물질의 파티클 사이즈인데요 파티클 사이즈가 클수록 고조파의 Amplitude가 큰것을 확인할 수 있습니다. EIS 실측 결과 또한 저항이 가장크게 나오구요(반원의 너비).
활물질 파티클 사이즈가 커질수록 확산이나 Intercalation 및 여러 과정에서 저항이 커지는것을 의미한다고 볼 수 있습니다.
또 한가지 인사이트는 56.23Hz에서 이 차이를 가장 잘 볼수있다는 점입니다.
저자는 결과적으로 0.18/3/56Hz중 56Hz가 가장 많은 정보를 담고있는 Frequency라고 주장합니다.

결국 이 논문의 구성은 이렇습니다.
이 논문 1년전에 발표한 논문은, 모두 실측 데이터 기반으로 NFRA의 전기화학적 특성분석에 정리를 했습니다.
이 논문은 실험데이터를 넘어 P2D 전기화학 모델을 통해 시뮬레이션 기반으로 NFRA의 전기화학적 특성을 분석하고 시뮬레이션 값과 실측값에 차이가 없음을 증명함과 동시에, EIS 실측값과 비교를 통해 NFRA로 추정한 배터리의 상태가 아주 정합성이 높다라는것을 확인합니다.
이 과정에서, P2D모델의 파라미터 중 여러 Electrolyte, Electrode의 Parameter들을 바꾸어가며 각각의 변화정도에 대해 NFRA가 어떤식으로 나타나는지를 보고 결과를 분석하는 논문입니다.
Results
이 전 논문 대비, P2D 모델을 기반으로 NFRA를 분석한다는것을 제외하고는 크게 변경된 부분은 없습니다.
하지만 0.18Hz, 3Hz, 56Hz라는 구체적인 주파수를 제시하며, 특히 56Hz라는 주파수를 집중 분석하면 배터리 상태추정을 하기쉽다는것을 제안한건 인상적이였습니다.
물론, 배터리 셀의 케미컬마다 이 수치들은 모두 바뀌게 될것입니다. 하지만, 저자가 사용한 18650 저용량 셀임을 한정하더라도 결국 배터리의 상태를 가장 잘 대변할 수 있는 어떤 값인지는 모르겠지만 주파수가 있다, 즉 주파수 도메인을 통한 배터리 상태추정은 꽤나 유의미한 결과를 가져올 수 있다는 점에서 저와 의견이 동일했습니다.
참조
[1] Nicolas Wolff, Nina Harting, Marco Heinrich, Fridolin Röder, Ulrike Krewer, Nonlinear Frequency Response Analysis on Lithium-Ion Batteries: A Model-Based Assessment, Electrochimica Acta, Volume 260,2018,Pages 614-622, ISSN 0013-4686,https://doi.org/10.1016/j.electacta.2017.12.097.
댓글