| 일 | 월 | 화 | 수 | 목 | 금 | 토 |
|---|---|---|---|---|---|---|
| 1 | 2 | |||||
| 3 | 4 | 5 | 6 | 7 | 8 | 9 |
| 10 | 11 | 12 | 13 | 14 | 15 | 16 |
| 17 | 18 | 19 | 20 | 21 | 22 | 23 |
| 24 | 25 | 26 | 27 | 28 | 29 | 30 |
| 31 |
- 코드로 이해하는 딥러닝
- AzureML
- 코이딥
- 딥러닝 코드
- 배터리 연구
- 배터리 모델링
- Battery modeling
- state of health
- Deep learning
- eis
- Battery Deep Learning
- 머신러닝 코드
- 배터리 진단
- 딥러닝
- Machine Learning
- 배터리 열화
- tensorflow
- Incremental Capacity Analysis
- 머신러닝
- 리튬배터리
- Battery Management System
- 칼만필터
- 배터리 AI
- Azure
- bms
- 배터리 EIS
- 텐서플로우
- Battery SOH
- Battery AI
- 배터리 딥러닝
- Today
- Total
Engineering insight
[Power Sources-2006] Review of models for predicting the cycling performance of lithium ion batteries 본문
[Power Sources-2006] Review of models for predicting the cycling performance of lithium ion batteries
Free-Nomad 2022. 12. 1. 00:33논문 전문 : https://www.sciencedirect.com/science/article/abs/pii/S0378775305007810
[출처] Shriram Santhanagopalan, Qingzhi Guo, Premanand Ramadass, Ralph E. White,Review of models for predicting the cycling performance of lithium ion batteries,Journal of Power Sources,Volume 156, Issue 2,2006,Pages 620-628,ISSN 0378-7753, https://doi.org/10.1016/j.jpowsour.2005.05.070.
※ The picture and content of this article are from the original paper.
[논문요약]
Review of models for predicting the cycling performance of lithium ion batteries
이 논문은 전기화학 모델 중 가장 대표적인 P2D, PP, SPM 에 대해 정리해놓은 논문입니다.
Citation수도 엄청나게 높은데요, 전기화학 모델을 입문하시는 분들에게 아주 도움이 될만한 논문으로, 내용적인 부분에서도 각각의 성능에 대해 직접 시뮬레이션하여 비교해놓았을 뿐 아니라, Reference도 하나하나 아주 알차게 정리가 잘되어있어 이 논문과 정리된 Ref들만 잘봐도 전기화학모델은 충분히 타파할 수 있을듯합니다.
Purpose
전기화학모델중 가장 유명한 3가지 모델 P2D(Pseudo 2-Dimensional), SPM(Single Particle Model), PP(Porous Electrode P2D) 모델 각각에 대한 성능 비교 및 구현, Computational Cost관점에서의 차이를 다루는 논문입니다.
한가지 아쉬운점이라면, 모든 성능 비교의 기준이 P2D모델이라는 점입니다. 직접 실험한 데이터와 P2D, SPM, PP 각각을 비교하면 좋았을텐데 아무래도 실물실험을 돌리는것은 오래걸려서 이렇게 진행한듯합니다.
Contents

하나하나가 워낙 방대한 역사를 가진 연구분야인지라, 간략하게만 정리해보았습니다.
일단 P2D모델은 Particle단위부터 리튬이온배터리를 모델링 한 전기화학 모델입니다. 특히 Lithium Concentration(이하 LC)이 메인 함수인데, Anode와 Cathode의 LC를 여러가지 메커니즘을 고려하여 정확하게 추정해내는것이 목적입니다.
Newman과 Fuller, Doyle과 같은 대표적 전기화학 엔지니어들에 의해 만들어졌으며, 이것은 N차 미분방정식을 지속적으로 풀어야하기에 Computational Cost가 엄청나게 높습니다. 거의 해석프로그램 돌리는 수준입니다.
또한, 초기 P2D논문 모델 이외에 추가적으로 여러가지 전기화학 메커니즘을 추가한 논문들이 많은데요, 대표적으로 Anode의 SEI Film thickness를 시간에 관한 함수로 표현하여 열화를 반영한 모델, electrode-electrolyte 계면의 porosity를 시간에 관한 함수로 반영하여 열화를 표현한 모델, solid phase내 LC를 정밀하게 표현한 모델...등이 있습니다.
해당논문에서는 열화에 따른 전압변화를 각각의 모델들이 얼마나 잘 따라가느냐를 보는것이기에 상기 언급한 모델기법들은 모두 반영하였으며, 컴퓨팅 연산량이 엄청나게 필요하기에 이후 나온 기법들이 PP와 SPM입니다.
SPM은 Single Particle Model의 약자로, 각각의 electrode를 단 한개의 spherical particle로 표현한 것입니다. 수많은 particle을 한개로 표현한것이기에 approximation이 과하다고 볼 수 있으며, 특히 Solid phase외에 다른 solution phase나 liquid state같은부분들은 표현할 수 없기에, P2D모델 대비 세세한 physical property는 확인할 수가 없습니다.
PP(Porosity electrode)모델은 P2D모델과 대부분 동일하나, P2D모델에서 가장 많은 연산량을 자랑하는 LC부분을 SP처럼 변환한것을 의미합니다. 각 particle별 LC를 average LC 및 surface LC라는 term으로 polynomial하게만 표현함으로써 논문에 표현한 바에 의하면, 이것의 변경으로만 P2D대비 연산량을 70%이상 줄였다고합니다.

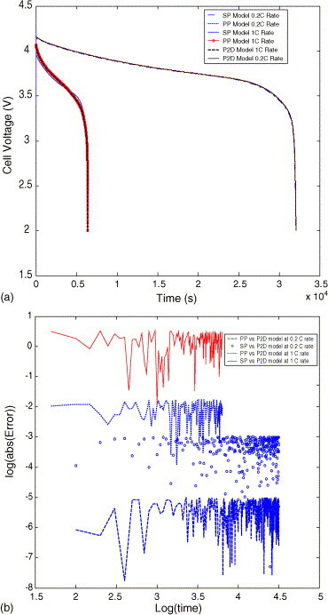
각각의 모델에 대한 P2D모델과의 비교그래프입니다.
저는 이해가안되는 부분이 1C-rate 시험이라고 되어있는데 왜 5000초가 넘어서야 끝났는지 입니다.
0.2C-rate도 그렇구요, 뭔가 실험이 잘못되었거나 혹은 C-rate에 대한 기준이 제가생각하는것과 다른것일지...의문입니다.
이것은 차처하고 결과로만보면 0.2C-rate에서는 SP PP P2D 모두 성능이 잘나오는것을 볼 수 있습니다.
PP가 조금 더 잘나오는데 logscale로 되어있어서 그렇지 SP vs P2D 0.2C-rate의 결과는 오차가 최대 5%이상까지 나는상황입니다.

이다음은 800 Cycle을 돌렸을때의 그림입니다. 0.2C-rate 방전이구요, 이 또한 SP PP모두 성능이 잘나온것을 확인할 수 있는데,
이 논문의 Abstract에서부터 언급하고있는 부분으로, 1C-rate이상의 High C-rate에서 SP의 성능이 급격하게 나빠진다는것을 보여주고 있는데 해당 Figure는 공개하고있지않네요..
그래프는 가져올 수 없었지만, 논문을 보시면 1C-rate 및 2C-rate에서도 상기와 동일한 실험을 PP,SP 각각에 대해 시뮬레이션한것이 있는데 SP 오차가 심하게는 수십%에 달하는것도 나올정도로 한계점을 보임을 확인할 수 있습니다.
Results
결과적으로는 SP와 PP각각에 대해 Reference로 P2D모델의 결과값을 가지고 비교하고 있습니다.
이점은 상당히 아쉽습니다. 왜냐하면 P2D 모델은 과연 믿을만한건지도 의구심이 들기 때문입니다.
실제로 800Cycle을 돌리고 특정 C-rate들로 실험한 실측치 VS P2D/SP/PP 이렇게 비교했으면 더욱 좋았을것 같다는 생각이듭니다.
참조
[1] Shriram Santhanagopalan, Qingzhi Guo, Premanand Ramadass, Ralph E. White,Review of models for predicting the cycling performance of lithium ion batteries,Journal of Power Sources,Volume 156, Issue 2,2006,Pages 620-628,ISSN 0378-7753, https://doi.org/10.1016/j.jpowsour.2005.05.070.https://doi.org/10.3390/batteries2020017
