논문 전문 : https://www.mdpi.com/2313-0105/2/2/17
[출처] Xiaosong Hu, Fei Feng, Kailong Liu, Lei Zhang, Jiale Xie, Bo Liu, State estimation for advanced battery management: Key challenges and future trends, Renewable and Sustainable Energy Reviews,Volume 114,2019,109334,ISSN 1364-0321, https://doi.org/10.1016/j.rser.2019.109334.
※ The picture and content of this article are from the original paper.
[논문요약]
State estimation for advanced battery management: Key challenges and future trends
이 논문은 BMS를 하시는 분들께서는 모두 Reference로 삼아도 좋을만큼 잘 정리된 리뷰논문에 가까운 자료입니다.
Lab Scale과 Industry Needs를 정확히 구분했고, 왜 학계에서 나오는 BMS관련 많은 논문들이 실제 필드에서는 적용되지 못하는지도 잘 정리되어있습니다.
BMS를 하시거나 혹은 하고싶은 분이 계시다면, 이 논문과 이 논문의 Reference들만 잘읽어도 거의 준전문가 급으로 성장하실 수 있다고 생각합니다.
내용이 워낙 방대하고 논문 자체가 담고있는 내용이 많아 2부로 나누어 작성해볼까했는데 이 논문을 하나씩 세세하게 다루는건 BMS전체를 분석하는것 같아 다른 기회가 된다면 BMS 기술에 대한 소개를 하는 글을 나중에 따로 진행해볼까합니다.
Purpose
양산 제품의 BMS에 적용이 가능한 기술과 불가능한 기술을 정확하게 나누어 놓았습니다. SOX를 세세하게 SOC, SOE, SOH, SOS, SOP, SOT...로 나누어 놓았으며 각각에 대한 정의 및 알고리즘 소개를 하고 있습니다. 배터리 온도 센서라고해도 셀 내부온도가 아닌 Anode나 외곽 플레이트 온도를 찍을 수 밖에 없으며, 전류 및 전압 센서의 Resolution/Frequency도 한계가 있음을 정확히 인지하고 있습니다.
Contents
① SOC(State of Charge)

SOC는 기본적으로 전류적산 혹은 OCV를 통한 Re-calibraiton이 메인 알고리즘이라고 소개합니다.
SOC의 수학적 정의상으로도 전류를 시간에 대해 적분해나가는 것이기에 정확한 해석입니다. 이외 전기화학적 정의로도 Anode와 Cathode의 Lithium Concentration의 정도로도 표현할 수 있다고 합니다.
전류적산을 기본 베이스로 하면서, 전류센서의 정확도 혹은 누적오차를 개선하기 위해 전압을 기반으로 OCV Mapping 혹은 Kalman Filter와 같은 Adaptive Filter Base의 기술들이 있습니다.
하지만 이 기법들은 offline에서 최대한 모든 케이스들에 대한 실험 및 ECM(Equivalent Circuit Model) 개발이 필요하고, 열화의 경우 반영이 어렵다는 한계점이 존재합니다. 또한, BMS CPU spec을 고려할때 수백 수천개의 배터리 셀을 각각 Adaptive Filter로 SOC를 추정하는것은 한계가 있기에, 대표셀로 계산해야한다거나 혹은 CPU 양산단가를 올려 전체 셀을 계산해야하는 Trade-off 관계가 있습니다. 특히 일반 KF가 아닌 EKF(Extended KF)나 UKF(Unscented KF)같은 기법을 쓰게되면 당장 매트랩으로 돌리더라도 Computational cost가 엄청남을 알 수 있습니다. BMS란 본디 SOC외에도 다른 제어기와의 협조제어, SOX추정 및 다른 부품들과의 충/방전시 통신이 이루어져야하기에 안그래도 낮은 CPU Spec을 최대한 아껴써야하기에 Offline으로 돌려서 paper work하실게 아니라면 추천드리지 않는 방법입니다. 물론 한국에 있는 배터리 대기업중 EKF를 쓰는곳들이 몇곳있습니다만, 개인적으로 SOC에서 그렇게 힘뺄건 아니라고생각합니다. KF계열을 쓴다해도 온도/열화 및 다양한 케이스들에 대해 Noise 튜닝이 필요하기에 개발 업무로드가 줄어드는것도 아니기 때문입니다.
Data Driven Modeling을 통한 AI 기법활용에도 문제가 있습니다. 학습에 사용하지 않은 데이터에 대한 정합성을 보장할 수 없기에 Outlier처리에 대한 방어 코드가 많이 들어가야 한다는 점과, SOC는 배터리 사용과정에서 아주 중요한 요소이기에 Outlier가 발생하면 절대 안된다는 점입니다. 이 또한, SOH, 온도 .... 배터리에 영향을 미치는 모든 케이스에 대한 데이터가 필요하다는 점에서 한계점도 있습니다. 하지만 장점은, 다양한 Input Data인자들에 대한 Non-linearity를 필요하다면 10차원 이상에 대해서도 추정할 수 있다는 것입니다. 주로 SVM(Support Vector Machine)이나 GPR(Gaussian Process Regression) 같은 기법들이 쓰이며 ANN(Artificial Neural Network) 혹은 Deep Learning 모델중 LSTM(Long Short Term Memory)나 RNN(Recurrent Neural Network) 계열도 사용하는데 이건 Computational Cost가 너무 커서 비추천입니다.
Node와 Layer가 깊지않은 ANN이나 ML계열 스킬(SVM, GPR..)선에서 정리하시는것을 추천드립니다. 특히, 이분야는 제가 연구하고 있기도한데 과연 배터리 데이터를 시계열로 보는게 맞는가? 라는것에 대해서 Reverse Engineering을 하고 있긴한데 의구심이 생기긴합니다. 그 이유에 대해서 적자면 한참이기에.. 나중에 기회가 된다면 제가 이제까지 적용한 딥러닝-AI-배터리 기법의 경험들에 대해 서술해보겠습니다.
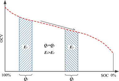
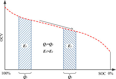
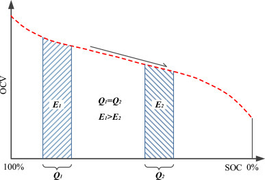
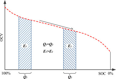
② SOE(State of Energy)

저는 보통 Remained Energy라고 부르는데요, 현재 상태에서 SOC 0%까지 쓸때 Energy를 얼마까지 쓸수있냐에 관해 추정하는 연구분야입니다. 수학적 정의로는 시간에 대해 Power[W]를 적분하는 것인데요, 이건 에너지에 대한 관점을 학문적으로만 본 경우입니다.
보통 필드에서 SOE에 대해 요구받는것은 이렇습니다.
"현재 운전자의 주행 습관(C-rate/Power)대로 외기온 평균 -10'C에서 배터리 발열량 및 냉각로직을 고려했을때 SOC 0%일때 예상되는 온도에 대한 에너지량은 얼마일까요? 물론 열화도 포함해서요"
학계에서 생각하는것보다 상당히 복잡합니다. 이 또한 간단하게 쓴것으로, 배터리 시스템 내 셀간의 편차 및 .... 기타 고려해야할 사항들이 엄청나게 많죠
즉, 일단 Reamined energy를 예측하기위해서 선행적으로 예측되어야할 것들이 정말 많습니다. 외기온도 및 냉각제어 로직에 대한 예측, 온도변화량 및 발열량에 대한 예측, 현재 배터리 사용습관에 대한 데이터를 기반으로 향후에도 어떻게 사용할것인지에 대한 예측...
심플하게 설계하려고하면 SOC에따라 그냥 Energy Mapping 해서 쓰면 되지만, 복잡하고 정교화하려면 끝도없이 할 수 있는것이 SOE 입니다.

③ SOH(State of Health)

SOH는 일반에도 널리 알려진 용어로, 배터리의 열화정도를 의미합니다. 하지만 이 열화도 카테고리가 나뉘는데 배터리 셀 케미컬을 하게되면 수십개로 나누지만.. BMS입장에서만 간단하게 정리하면 크게 2가지로 봅니다.
1. SOHr(Resistance SOH)
2. SOHc(Capacity SOH)
SOHr은 내부 저항증가에 따른 열화도입니다. 예를들면, SEI Film이 두꺼워진다거나 Electrode계면에 Porosity가 커진다거나...하는 케미컬적 저항증가성분들을 전부 뭉뚱그려서 SOHr이라 합니다.
SOHc는 용량 감소에 의한 열화도입니다. 마찬가지로 SEI Film형성 당시 리튬이온이 죽거나, 혹은 고온에서 전해질과 반응하여 리튬소실이 된다거나 전극구조붕괴가된다거나 ...하는 식으로 용량자체가 Fading되는것을 의미합니다.
SOHr과 SOHc는 별개의 것이 아닙니다. 둘은 연관되어있으나, 반대로 두개가 동일한것이냐? 라고 물으면 단언컨데 "No"입니다. 하지만 보편적으로는 주행거리에 조금이라도 더 직접적으로 영향을 주는 SOHc를 SOH라고 부르는 경우가 많습니다.
Physics Based Method를 보면 SPM(Single Particle Model)이나 PP(Electrode Porosity), P2D(Pseudo-2D)와 같은 Partial Differential이 필요한 전기화학 모델들을 기반으로 해석할 수 있다고 되어있는데, 물론 Aging에 관한 수식들을 전기화학 모델에 녹인 많은 논문들이 있지만 결국에는 time에 대한 함수로 밖에 표현할 수 없으며, 대부분 Electrode의 Lithium Concentration이나 SEI Film Thickness에 대해서 time에대한 function으로 SOH를 표현해놓은것이 전부입니다. 물론, 수학적으로 모델링을 하기에 이정도도 정말 큰 성과이지만 반대로 이 전기화학모델로 배터리 셀의 화학적 열화에 관한것을 모두 구현할수있냐?라고하면 "No"입니다. 오히려, 몇가지 수식으로 구현된것밖에 반영이안됩니다. (이것에 대한 연구를 폄하하는것이 절대 아니고 뉴먼 혹은 도일과같은 연구자분들을 진심으로 존경합니다.)
Empirical Model이 그나마 필드에서 조금 쓰이는것인데, 예를들면 2RC Modeling을 하더라도 열화를 직접 시키며 저항과 커패시터값을 뽑아낸다던가..하는건데요, 실험기반방식은 연구분야를 막론하고 실험한것 이외에는 반영이 어렵다는 큰 한계점이 존재하긴 합니다. 하지만, Computational Cost나 Man Hour등을 고려하면 타협의 결과 가장 합리적이라고 볼 수 있는 선택지이기도 합니다.
DVA/ICA도 저는 Empirical Method로 보고있으며, 별로 좋아하는 방식은 아닙니다. DVA/ICA자체가 동작하기 위한 조건이 너무 까다로울 뿐 아니라, Sensor Frequency도 좋아야하고 Curve Peak에 영향을 주는 인자가 너무나도 많습니다. 즉, 열화가 아니어도 Peak의 Shifting이나 Height에 영향을 주는 요소가 많기에 이것이 열화에 의해서인지 아닌지 판단이 안되는 경우가 많습니다. Lab Scale에서는 다른 모든 조건을 동일하게 Ideal하게 세팅하여 실험할 수 있겠지만, Field에서는 적용이 안되는 경우가 많습니다. 또한, 아주 낮은 C-rate(보통 0.1C-rate 이하)로 장시간 인가해야한다는 점에서 ESS나 특수한 경우에나 간신히 적용될 수 있을까 말까입니다. 어떤 관점에선 Breakthru가 될수 있겠지만, 저는 아직은 물음표를 띄우고 있습니다.
Data Driven Model은 Empirical Model과 상동입니다. SOH는 근본적으로 데이터를 얻기 어렵다는것이 문제점입니다. 데이터를 얻으면 Curve Fitting을 하든 Empirical Modeling을 하든 다할 수 있습니다. MIT에서 3년전엔가 Nature지에 쓴 아주 초기 사이클 데이터만으로 배터리 잔존수명을 예측하는 그런식의 접근이 아니라, 단순히 Machine Learning을 Regression의 용도로 쓰는 대부분의 논문들과 같은 방식이라면, SOH추정에는 무의미합니다. 데이터가 있다면 굳이 저라면 딥러닝을 하지 않고도 추정 모델을 만들 것 같습니다. (Computational Power 고려)
④ SOP(State of Power)

SOP는 저는 보통 Power limit이라고 부르는데요, 현재 가용한 출력이 얼마이냐 입니다. SOE와 정확하게 구분해야합니다.
SOE는 SOC 0%까지 쓸때 가용한 에너지가 얼마일까? 라면 SOP는 SOHr과 오히려 관계가 깊습니다. 현재 나의 배터리 상태에서 가용한 최대출력(혹은 최대C-rate)은 얼마인가? 하한전압까지 도달하는데는 그럼 얼마나 걸리고, 이것이 배터리 내구(SOH)에는 어떤영향을 줄것인가? 를 고려해야합니다.
이분야도 할말하않이긴한데, 단순하게 하자면 한없이 단순해질 수 있고 복잡하게 하자면 한없이 복잡하게 연구할 수 있는 분야입니다.
이 분야는 BMS도 연관이 있지만 오히려 정교한 전기화학 모델이나 실제 배터리 셀 실험을 통한 성능 확인과 같은 셀 엔지니어들에게 조금 더 중요한 분야라고 생각합니다. Power Limit에 대한 Guide Line이 정해진 이후, 이것을 얼마나 최적화하고 효율화하여 사용할지가 BMS 엔지니어가 하는 일이라면, 이 Power Limit에 대한 조건별 값들을 어떻게 구성할지는 Cell Engineer들이 진행해야합니다. (물론 BMS 엔지니어도 실험을 하기에 할수는 있습니다만, 근본적으로는 그렇습니다.)
⑤ SOT(State of Temperature)

배터리의 온도를 추정하는 연구분야입니다. 이건 배터리를 사용하는 대상에 따라 달라질 수 있지만, Mass Product들에서 전력구동시, 배터리 셀 내부를 열화상카메라로 하나씩 체크하며 각각의 Electrode와 electrolyte, 집전체...들의 온도 분포를 모두 분석할 수는 없습니다. 따라서, 가장 온도의 대표성을 띈다고 추정되는곳의 셀 Surface Temperature를 잴 수 밖에 없습니다. (경우에 따라서는 아닌 상황도 있습니다.)
하지만 보통 배터리 상태추정 혹은 열폭주와 같은 이상상태를 진단하기 위해서는 Surface Temperature로 감지가 되는 경우라면 이미 셀 내부적으로는 Thermal Hazard가 많이 진행된 상태이기에, 셀 내부 온도변화를 어떻게든 캐치하려는 연구도 진행되고 있습니다.

저도 최근 해외학회에 배터리 시스템 열모델 관련하여 논문을 하나 발표하고 왔는데, 다양한 분야의 교수님 및 연구자 분들께서 코멘트 및 질문을 많이 주셨었습니다. 즉, SOT(저는 SOT라고 부르진 않습니다만..)에 대한 관심은 학계를 막론하고 많은것 같습니다.
배터리의 발열량이라는 것은 결국 저항과 밀접한 관계가 있기때문에, SOH와도 연관이 있을 뿐 아니라 이 저항은 찍어보게되면 SOC/온도에 따라서도 다 다릅니다. 따라서, 배터리 열모델의 경우 다른 SOX추정 모델들이 다 완성되고 그 다음 진행되는 경우가 많기에, 통합모델 구성시에야 본격적으로 진행해볼 수 있는 경우가 많습니다.
물론, 배터리 단셀만 본다면 이정돈 아니지만, BMS를 하신다는것은 본디 이런 배터리셀이 수백 수천개가 직렬연결되고, 각각에 대한 HW Resistance Property, 버스바 및 직병렬 연결 구성성분의 Thermal Capacity, Battery System구성시 내부 모든 전장부품들의 영향성...을 고려해야하기에 연구할거리가 아주 많은 분야입니다. 요즘은 보통 Battery 의 Thermal Runaway를 조기진단하는쪽으로 연구가 많이 진행되고 있는것 같습니다.
이외..SOS(State of Safety)... 이런것들은 내용이 너무 방대해서 Skip 하겠습니다.
일단 BMS 기본 베이스로는 상기 5개의 SOX에 대해서만 알아도 차고넘칠듯합니다.
Results
BMS엔지니어는 당연히 제어기를 코딩해야하기에 , 프로그래밍적 능력(컴퓨터공학) + 각종 제어알고리즘을 짜야하기에 제어공학 및 최적화, 전력변환 부품과의 협조업무(전기공학), 좀더 멀리는 MPC(Model Predictive Control)에 대한 이해 + Machine Learning/Deep Learning에대한 이해(AIDS) + 배터리 셀 케미컬에 대한 이해(전기화학) + 모델링을 위한 회로 및 수치해석에 관한 이해(전자공학) + 배터리의 열역학 및 면압특성과 같은 시스템 Property(기계공학) ...
다양한 학문들에 대해 알아야 하는 분야임에는 확실합니다.
여기서 저 모든 학문들에 대해 얼마나 각각에대해 깊숙히 알고있냐가 이제 또 BMS엔지니어의 능력을 결정하게 되는것 같습니다.
이러한 Risk?를 아시고도 BMS엔지니어를 하고싶으시다면 이 논문을 한번 Full로 읽어보시는것을 꼭 추천드립니다.
참조
[1] Xiaosong Hu, Fei Feng, Kailong Liu, Lei Zhang, Jiale Xie, Bo Liu, State estimation for advanced battery management: Key challenges and future trends, Renewable and Sustainable Energy Reviews,Volume 114,2019,109334,ISSN 1364-0321, https://doi.org/10.1016/j.rser.2019.109334.https://doi.org/10.3390/batteries2020017
댓글