논문 전문 : https://www.mdpi.com/2313-0105/2/2/17
[출처] Traub, L.W. Calculation of Constant Power Lithium Battery Discharge Curves. Batteries 2016, 2, 17. https://doi.org/10.3390/batteries2020017
※ The picture and content of this article are from the original paper.
[논문요약]
Calculation of Constant Power Lithium Battery Discharge Curves
이 논문은 처음부터 이걸로 읽은건 아니고, 배터리 Health Index나 RUL Prediction 논문을 보던중, 엄청나게 특이하고 눈길을 끄는 인자가있어서 읽었는데 그 논문의 Ref에 있어서 한꺼번에 보게되었습니다.

해당 논문은 InV라는 굉장히 특이한 인자를 사용하는데요, 이 수식의 초기목적은 UAM과 같은 배터리 기반 비행체들은 CP(Constant Power)로 사용하는경우가 많기에 CP를 하기 위한 전류를 예측하고자 만들었습니다. 즉, 전압이 비선형적으로 바뀌기에 전류도 비선형적으로 따라가야 Constant Power로 사용할수 있기에, CP로 사용하기 위한 전류를 real time으로 계산하기 위한 논문입니다.
하지만 이 수식을 나중에 SOH추정 인자로 사용하는 논문도 나오게되는데, 이것은 다음글에 정리하도록 하겠습니다.
Purpose
Battery based Aircraft의 CP방전을 위한 전류를 예측하는 용도로 나온 논문입니다.
전압이 비선형적으로 바뀌기에 그에따른 전류를 수학적으로 계산하여, 추정하는 논문으로 상당히 특이한 접근방식과 신선한 insight를 주는 논문이였습니다.

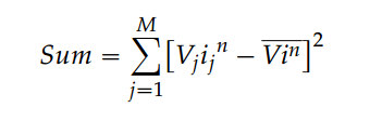
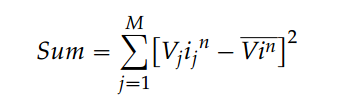
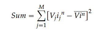
어떠한 전류에서건 InV가 동일하게 나오는 n값을 찾고, 이를 토대로 여러 방정식 푸는과정을 거쳐 결국 CP를 위한 전류를 구하는것이 목적입니다.
Contents

해당수식에서 n = 0.05로 이는, heuristic하게 찾았다고 합니다.
즉, 여러 전류대역에서 하기와 같이 InV커브가 동일하게 그려지는 n값을 일일히 넣어가며 찾는것입니다.


InV에서 n값에 대해 상기와 같이 Loss function을 만들고 Least square optimization을 통해 n을 얻어낸 결과 0.05라는 값을 도출했습니다.

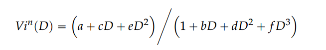
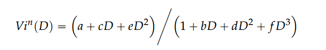
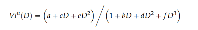
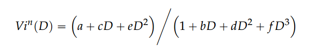
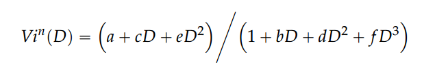
이 다음, InV가 복잡하기에 Curve fitting을 통해 함수로 만들어냅니다. D는 DOD(Depth of Discharge)입니다.
이 과정을 거치면 이제 D값에 대한 InV값을 바로 알수있게 됩니다.

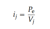
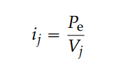
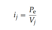
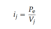
그 다음, 상기과정을 통해 Pe(인버터에서 요구하는 출력)에 대응하는 전압을 계산합니다.
여기서 조금 잡기술이 들어가는데요

j는 각각의 전류에 따른 테스트케이스입니다.
즉, 테스트케이스가 충분하다면 InV는 애초에 전류에 따라 같은 값을 가지기때문에 j라는 전류에 대한 InV와 j-1이라는 전류에 대한 InV가 동일하다고 가정합니다.
이후, Pe = IV만 대입하여 정리하면 Vj를 얻어낼 수 있습니다.

이후 요구출력(Pe)에 대한 Vj를 구했다면, 다끝났습니다. 출력을 전압으로만 나누어주면 CP를 유지하기위한 전류j가 상기와 같이 나오게됩니다.
이후, 앞으로 CP를 유지지하기위한 전류를 예측하기위해 D를 구해줍니다.

이러면 한사이클이 끝나게되는데요. 이 과정을 D가 100%(SOC 0%)가 될때까지 반복하면 결국 CP(Pe)를 유지하기 위한 전류프로파일이 쭉 나오게됩니다.
이를 통해 구한 전류를 인가할 경우, CP가 유지되는지 실제로 확인한 결과는 하기와 같습니다.
수식을 통해 전류를 예측했을때 반응하는 전압값과, CP로 실측한 전압값이 거의 동일한 것을 확인할 수 있습니다.

Results
아주 인사이트 넘치고 좋은 논문이였습니다.
이 InV라는 변수를, SOH추정 혹은 HI로 활용할 수 있는지 한번 검토를 해볼예정입니다.
하지만 아쉬운점은 저온에서는 Performance가 보장되지 못한다고하네요
-20'C에서 확인한 결과 밑의 그림(b) 처럼 n=0.05에서는 맞지않는 모습을 보였다고합니다.
n을 온도에 대한 변수로 두어 추가튜닝이 필요할지는 한번 모색이 필요할듯합니다.
(필자는 여러 케미컬의 셀에 대해 동일한 n값을 유지하고자 저온에서는 안된다고한듯합니다.

참조
[1] Traub, L.W. Calculation of Constant Power Lithium Battery Discharge Curves. Batteries 2016, 2, 17. https://doi.org/10.3390/batteries2020017
댓글