논문 전문 : https://ieeexplore.ieee.org/document/9889746
[출처] E. Y. M. Ang and Y. C. Paw, "Linear Model for Online State of Health Estimation of Lithium-ion Batteries Using Segmented Discharge Profiles," in IEEE Transactions on Transportation Electrification, 2022, doi: 10.1109/TTE.2022.3206469.https://doi.org/10.3390/batteries2020017
※ The picture and content of this article are from the original paper.
[논문요약]
Linear Model for Online State of Health Estimation of Lithium-ion Batteries Using Segmented Discharge Profiles
이 논문은 이전에 정리한 "Calculation of Constant Power Lithium Battery Discharge Curves." 에서 제안한 InV라는 변수를 토대로 배터리의 SOH를 추정한 논문입니다.
논문의 골자는, 이 InV라는 변수가 SOH에따라서 커브가 다르게 그려진다는 것입니다.
Purpose
InV와 용량, 시간에 관해 요리보고 조리보고해서 결국 SOH와 연관된 어떤 그래프를 그려내는 논문입니다.
InV가 무엇인지, 어떻게 구하는지에 대한 자세한 설명은 하기글을 참조해주세요 (InV 원논문)
https://limitsinx.tistory.com/221
[MDPI-2016] Calculation of Constant Power Lithium Battery Discharge Curves
논문 전문 : https://www.mdpi.com/2313-0105/2/2/17 [출처] Traub, L.W. Calculation of Constant Power Lithium Battery Discharge Curves. Batteries 2016, 2, 17. https://doi.org/10.3390/batteries2020017 ※ The picture and content of this article are from
limitsinx.tistory.com
Contents
상기 글에서 InV에 대해서는 상세하게 다루었기때문에, 별도 추가적으로 길게 정리할 내용은 없지만 이 InV를 어떻게 다른관점에서 해석했는지 정도는 인사이트를 얻을 수 있었습니다.
※ 이 논문은 유독 Figure가 없네요... 그림으로 보는게 제일 직관적인데 아쉽게도 못구했습니다..
글로만이라도 정리를 해보자면,
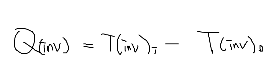
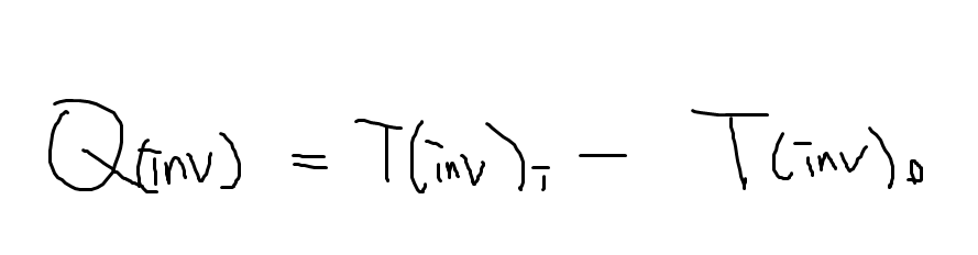
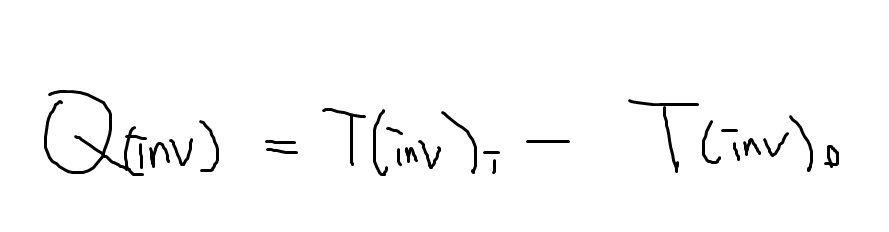
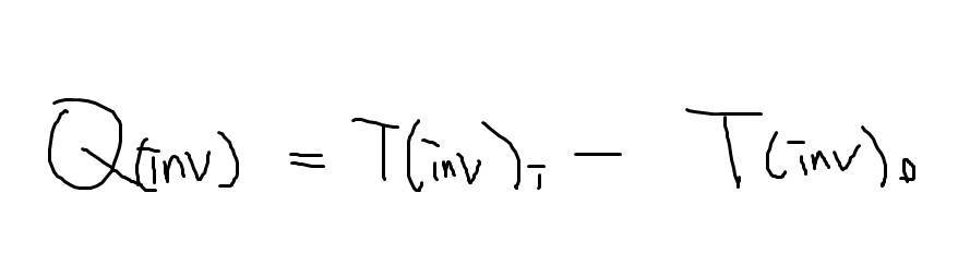
InV를 x축으로 두고 y축을 Q(InV)로 둘때, InV를 x축으로 두고 y축을T(InV)로 둘때 두가지로 Figure를 그릴 수 있습니다.
그러면, 열화됨에 따라 이 그림이 바뀌는것을 볼 수 있는데 하기와 같이 직접한번 그려보았습니다.
일단 Q(InV)부터 보면, 하기와 같습니다.


x축과 y축은 모두 Min-Max Normalization을해서 0~1로 표현했습니다.
해당 논문은, 방전하는 경우만 다루기때문에 결국 InV가 1이라는 것은 SOC가 100%라는것을 의미합니다.
왜냐하면 CC방전을하기때문에 In은 없다치고 V가 계속 감소하기때문에 결국 0인 지점이 완전방전한 SOC 0%상태입니다.
점선친 부분의 InV를 SOC 30%정도 부근이라고 치면, 동일한 SOC에서 빨간색 선은 Q(inv)가 파란선보다 큰데요
여기서 Q(inv)는 첫사이클에서의 시간 대비 현재 사이클에서의 시간을 의미합니다. 즉, 열화가 많이되었다면 첫사이클에서 현재 SOC까지 될때의 시간과 현재 사이클에서 현재 SOC까지 방전될때의 시간차이가 많이나겠죠
따라서 빨간색 선처럼 그려지는것이 파란색선처럼 그려지는것보다 열화된 상태인것을 추정할 수 있습니다.

이번에는 T(InV)를 한번 보겠습니다. T(InV)는 SOC 100%에서 해당 SOC까지 방전할때의 시간입니다.
즉, InV(y축)을 기준으로 보면, 빨간색 T(InV)가 작은것을 확인할 수 있는데, 이는 동일한 SOC까지 방전하는데에 시간이 짧다는것으로 파란색에 비해 상대적으로 열화가 많이되었음을 추정할 수 있습니다.
이런식으로 InV를 용량,시간 관점에서 해석하여 SOH와의 연관성을 찾을 수 있다는 논문이였습니다.
Results
특이한 접근방식이긴하나, CC방전을 해야한다는점과 항상 SOC 100%부터 방전을 시작해야한다는점에서 아쉬운점이 있었습니다.
하지만 InV라는 변수에 대해서는 끈질기게 물고늘어져보고싶은, 간만에 마음에드는 배터리 상태추정 변수입니다.
해당 논문도 올해 나왔는데, 아무래도 저와 비슷하게 2016년 나온 원논문에 많은 감명을 받고 이것저것 해본듯하네요
참조
[1] E. Y. M. Ang and Y. C. Paw, "Linear Model for Online State of Health Estimation of Lithium-ion Batteries Using Segmented Discharge Profiles," in IEEE Transactions on Transportation Electrification, 2022, doi: 10.1109/TTE.2022.3206469.https://doi.org/10.3390/batteries2020017
댓글