논문 전문 : https://www.jecst.org/journal/view.php?number=409
[출처] Journal of Electrochemical Science and Technology 2022;13(1):19-31, Published online: October 18, 2021, DOI: https://doi.org/10.33961/jecst.2021.00836
※ The picture and content of this article are from the original paper.
[논문요약]
Principles and Applications of Galvanostatic Intermittent Titration Technique for Lithium-ion Batteries
배터리 셀 특성을 비파괴적으로 분석하는 여러 방법 중 유명한 GITT에 관해 review된 논문을 읽어보았습니다.
Constant Current Pulse를 주고 전압거동 특성을 본다는 점에서 HPPC와 근본적으로 컨셉은 동일하지만, 삼전극셀에서 Working electrode만을 관찰하여 Diffusion coefficient(확산계수)를 구한다는 점에서 대상이 다릅니다. 배터리의 전해질-전극 계면의 물성치들을 통해 Diffusion Coefficient를 구하고 이를 토대로 전극의 Kinetics를 분석하는 논문인데, 제가 이것에 관심을 가지게 된 이유는 Full 셀에서도 GITT와 비슷한 방식으로 확산계수를 구하고 이것의 변동량을 통해 배터리 상태를 유추할 수 있는 Health Index로 사용하고자 하는 접근법을 보았기 때문입니다. Lab Scale로만 가능하다고 생각하긴 하나, GITT에 대해 알아두면 좋을것 같아 정리해보았습니다.
Purpose
GITT에 대해 리뷰하고, 이것을 활용하여 배터리 셀 특성을 어떻게 수치화할 수 있는지에 대한 논문입니다.
EIS, Voltammetry, GITT...외 다양한 방법들이 있지만 GITT가 그나마 현실적용 가능성이 있다고 생각되는데, 물론 GITT가 현실적이라는건 아니고 다른 EIS, Voltammetry같은 방식이 너무 Lab Scale에서만 가능하기 때문입니다.

HPPC처럼 특정 Pulse를 인가해주는데, GITT는 삼전극셀을 기반으로 하기때문에 몇가지 실험 조건들이 있습니다.
0.1C-rate, 0.05C-rate수준으로 5~30분 정도씩 인가해주어야 한다는점이 가장 필요한데, 이것 또한 충분한 Relaxation이 필요합니다. 따라서, GITT는 엄청나게 오랜기간 실험이 필요한데 약 한달이상은 꼬박 돌려야할것으로 생각됩니다.
Contents

논문에도 GITT를 통해 셀을 분석하는 여러 방법을 적어놨지만, Potential 차이를 통한 OCV연산이나, Polarization Voltage(termial voltage - OCV)를 통한 Internal resistance계산같은것은 워낙 일반적이고, HPPC로도 가능한 방법이기에 Diffusion Coefficient에만 집중해보았습니다.

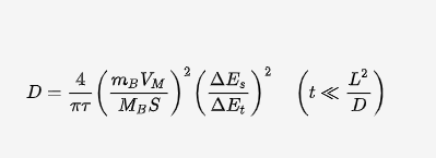
논문에서는 여러 근사화와 Fick's law같은 법칙들을 적용하여 최종적으로 Diffusion Coefficient를 상기와 같이 정리해냅니다. 여기서 대부분의 값들은 물성치입니다. 즉, 상기 확산계수식에 유의미한 영향을 주는 변수로는 Fig.A에 있는 값들입니다.
하지만 여기서 눈여겨봐야할 점은, Overpotential을 선형으로 가정했다는점, tau라는 시간이 직접적인 변수로 들어간다는 점입니다. 즉, 다른 상수들은 다 제껴두고 담백하게 확산계수에 비례하는 항들만 보자면 하기와 같습니다.
1. Overpotential(Et)
2. 전류인가 전 전압(OCV)대비 현재 OCV (Es)
3. 전류인가시간(tau)
따라서 상기 세가지를 통해 어떤 유효한 추정이나 Health Index와 연관짓겠다는 말인데, 이것은 제가느끼기에는 HPPC를 통한 RC ECM(Equivalent Circuit Model)을 만들어 각각의 저항/커패시터 텀들의 변화를 추정해서 상태를 진단하겠다는것과 진배없어보입니다.
즉, 제가 이해한바가 맞다면 특정한 확산계수를 얻어내는게 목적이 아니라 이를 통한 어떤 유의미한 변화량을 추정하는것이 목적이라면 그다지 파워풀한 팩터가 되기에는 무리가 있다고 생각합니다.
Results
GITT가 완전 케미컬한 쪽에서 확산계수를 정량화하기 위한 방안으로는 큰 도움이 되는 방식일지 모르겠으나, 이것을 통해 어떤 진단을 한다거나 변화량 분석을 통해 배터리 상태를 추정함에 있어서는 파워풀한 팩터가 되지 못할것이라 생각되었습니다. 특히, 대용량의 Full 셀에서는 더더욱이 힘들것으로 생각됩니다.
또한, HPPC와 크게 유의미한 차이점을 이해하지 못했습니다. 삼전극/풀셀 이런 대상의 차이를 제하곤, 결국 SOC별로 Constant Current Pulse를 인가하고 이때동안 발생하는 전압거동특성을 분석하는것이기 때문입니다.
참조
[1] Journal of Electrochemical Science and Technology 2022;13(1):19-31, Published online: October 18, 2021, DOI: https://doi.org/10.33961/jecst.2021.00836https://doi.org/10.1016/j.jpowsour.2018.10.069.
댓글