논문 전문 : https://ieeexplore.ieee.org/document/9121487
[출처] Z. Li, X. Shi, M. Shi, C. Wei, F. Di and H. Sun, "Investigation on the Impact of the HPPC Profile on the Battery ECM Parameters’ Offline Identification," 2020 Asia Energy and Electrical Engineering Symposium (AEEES), 2020, pp. 753-757, doi: 10.1109/AEEES48850.2020.9121487.
※ The picture and content of this article are from the original paper.
[논문요약]
Investigation on Impact of the HPPC profile on the Battery ECM parameters' Offline Identification
HPPC실험을 통한 배터리 등가회로모델(이하 ECM;Equivalent Circuit Model)의 파라미터를 추출하는 방법에 대해, 일반적으로 흔히 사용하는 HPPC시험기법보다 더욱 최적화하여, 파라미터 추출이 잘되는 실험기법에대해 제안하는 논문입니다.
Purpose
HPPC시험은 원래는 ECM의 파라미터를 추출하고자 나온 실험방법은 아닙니다.
점차 방전해가면서 각 SOC별로 Dynamic Power capability를 측정하려고 나온시험인데 파라미터 추출을 하는방법론에도 적용되어 지금까지 그대로 파라미터 추출 시험방법으로 사용되어왔습니다.
하지만 Parameter Identification(이하 PI)에 최적화된 아니라는 판단이 든바, 필자는 Pulse 입력시간이나 Rest time을 바꿔가며 어떤게 PI에 최적화된 HPPC시험인지를 찾아냈고, 제안하고자합니다.
※ 하기 링크는 파라미터 추출에 관한 심플한 방법을 제시한 논문입니다.
https://limitsinx.tistory.com/160
[IEEE-2019] A Parameter Extraction Method for the Thevenin Equivalent Circuit Model of Li-ion Batteries
논문 전문 : https://ieeexplore.ieee.org/document/8912326 [출처] M. Hossain, S. Saha, M. E. Haque, M. T. Arif and A. Oo, "A Parameter Extraction Method for the Thevenin Equivalent Circuit Model of L..
limitsinx.tistory.com
Contents
저도 요즈음은 SOC추정 및 ECM관련해서는 2RC모델 이상을 쓸 이유가 없다라고 생각하고있습니다.
UKF니 Fuzzy Logic이니 유전알고리즘(GA)이니 딥러닝이니 다양한 방법이 많지만, 결국은 가장 그 근간이 되는 논문
G.Plett교수님의 "EKF - SOC"추정 기법을 이길수없으며, 여기서도 1RC 혹은 2RC ECM만해도 충분하다, Noise 튜닝만 잘하면 SOC문제는 왠만하면 끝이난다라고 생각하고 있습니다.
KF기반의 SOC추정을 위해선 PI가 정확하게 되는것이 아주 필수적입니다.

필자에 의하면 기존에 보편적으로 HPPC에 사용하던 Pulse는(저는 그렇게 사용하진 않았는데..) 두가지라고합니다.
1. 18s Discharge, 2s Regen
2. 12s Discharge, 10s Regen
즉, 셀에 가할수있는 최대 C-rate로 18초간 방전을할수있냐,12초간 방전할수있냐..(ex. 10초출력) 이런식으로 시험을 했다고하는데요(필자의 나라는 그런가봅니다..)

이런식으로 여기서 Pulse time과 Rest time 을 4가지 케이스로 구분하여 PI에 최적화된 HPPC시험방법을 찾아보았다고합니다.
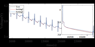
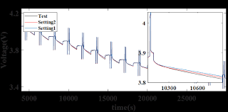
1. 10초 펄스, 30초 rest - RMSE : 1.5mV
2. 10초 펄스, 90초 rest - RMSE : 0.206mV
3. 30초 펄스, 30초 rest - RMSE : 0.302mV
4. 30초 펄스, 90초 rest- RMSE : 0.155mV
이렇게 4가지 시험법으로 진행하였고, 그 결과 4번째 방법이 가장 PI결과가 좋았다고합니다.
하지만 의문인점은, HPPC의 실험치를 몇으로했건 RMSE가 1.5mV인것도 아주 좋게나온것 같은데요...-_-;
전압을 맞추기위해 Fine tuning한값을 논문으로 쓰진않았을꺼고...RMSE가 0.155mV면 센서오차보다도 훨씬 낮은정돈데.. 전기화학모델도 이정도 오차로 따라갈수있을지 모르겠네요
이 논문의 배경, 필요성 이런부분은 매우공감이 갔는데 이 결과표를 보자마자, "아..이거 올림픽데이터구나" 라는 생각이 많이 들었습니다.
물론, Dynamic한 전류패턴의 전압값을 추종한건 아니고, 추출해내고자한 HPPC시험 그대로의 전압값을 Estimation해서 비교한것이기에 이정도 오차로 나올수도 있다고는 생각하지만, 그렇다하더라도 Fine tuning없이 추출한 값으로만 이정도 결과가 나온다는건 믿기가 힘드네요..
OCV 비선형성이 커지는 저SOC, 고SOC는 빼고 오차를 계산한건가..
Results
최종 추정결과표에는 의구심이 들지만, 해당 논문의 빌드업 과정이 매우 좋다고 생각됩니다.
기존에 당연하게 쓰고있던 방식에 의문을 품고, 여러가지 다른케이스들에 대해 직접 실험하고 특정방안이 결과가 좋다는 점을 나태낸점입니다.
1. 10초 펄스, 30초 rest - RMSE : 1.5mV
2. 10초 펄스, 90초 rest - RMSE : 0.206mV
3. 30초 펄스, 30초 rest - RMSE : 0.302mV
4. 30초 펄스, 90초 rest- RMSE : 0.155mV
하지만, 이정도 오차(0.1mV~1.5mV)는 ECM의 PI를 진행할때 시상수를 어떻게둘지에 따라서도 충분히 바뀔수있는 문제이기때문에, 해당 논문에서 "동일한 조건들 : 시상수 및 다른 온도 및 시험 환경"이라고 확실히 표시해두었다면 유의미하겠지만, 상기 조건들 특히 시상수에 대해 변동을 주며 했다면 사실상 Fine Tuning한것이나 다름없습니다.
이것에 대한 확실한 언급이 있었으면 좋았을텐데 하는 아쉬움이 남는 논문입니다.
참조
1. Z. Li, X. Shi, M. Shi, C. Wei, F. Di and H. Sun, "ㅊ," 2020 Asia Energy and Electrical Engineering Symposium (AEEES), 2020, pp. 753-757, doi: 10.1109/AEEES48850.2020.9121487.
댓글