논문 전문 : https://www.sciencedirect.com/science/article/abs/pii/S0378775319314284
[출처] Yunlong Shang, Chong Zhu, Gaopeng Lu, Qi Zhang, Naxin Cui, Chenghui Zhang,Modeling and analysis of high-frequency alternating-current heating for lithium-ion batteries under low-temperatureoperations,Journal of Power Sources,Volume 450,2020,227435,ISSN 0378-7753, https://doi.org/10.1016/j.jpowsour.2019.227435.
※ The picture and content of this article are from the original paper.
This article is more of an intuitive understanding than academic analysis.
[논문 요약]
Modeling and analysis of high-frequency alternating-current heating for lithium-ion batteries under low-temperature operations
AC Heater를 활용한 고주파 배터리 히팅에 관한 연구입니다.
같은 고주파 배터리 히팅이라도 관점이 다른 연구들이 있는데, 예를들면 어떤 주파수에서 가장 발열량이 좋은가에 대한 연구가있고, Amplitude를 얼마로해야하는가, 고주파 배터리 히팅을 연구하기위한 모델링을 어떻게 정밀하게 할까...가 있는데 본 연구는 Amplitude 최적화, 모델링에 관한 논문입니다.
Contents

배터리 셀에 AC Heater를 달고 키르히호프 법칙에 근거한 다이오드 제어를 함으로써 스위칭을 통해 배터리 발열을 하는 방식입니다. 배터리 히팅은 당연히 셀 밸런싱이나 배터리 시스템 내 전체적인 밸런스를 무너뜨리지 않아야 한다는점을 간과해선 안됩니다.
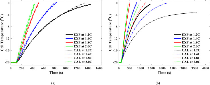
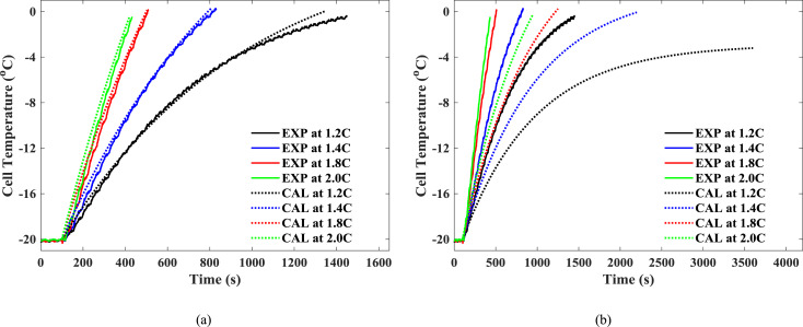
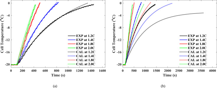
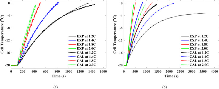
주파수 히팅에 따른 발열량을 모사하고자, 다양한 열역학적 수식을 기반으로 논문에서 쭉 써내려가는데 결국은 1RC-ECM에 인덕턴스를 추가하고, 각 저항과 커패시터성분에 온도 Term을 추가하여 최종 완성됩니다. (논문내 Figure.3)

결과적으로 상기와 같이 다양한 C-rate에 대해 발열 특성을 아주 잘 예측하는 모델을 만들어내게 되는데요, 저도 재작년에 스페인에서 배터리 시스템 열모델 논문을 발표한적이 있는데, 본 논문처럼 셀단위에서 하다보면 크게 고려해야할 상황이 적습니다. 일단 배터리 시스템 내에는 셀 자체 발열 뿐만 아니라, 인접셀의 열 전달 및 모듈/전장품 저항에 의한 추가발열, 다양한 재료들의 모두 다른 Thermal Capacity, 거기다 냉각수의 온도와 조건별 EWP에 대한 영향성... 고려해할 부분이 아주 많습니다. 저는 이런 부분들을 모두 간략화해서 아주 간단하지만 정확도가 높은 배터리 시스템 Lumped Thermal Model이라는 주제로 발표를 했었는데요, 본 논문은 셀단위에서 진행하기에 1RC ECM에 온도텀 반영한 정도로도 상기와 같이 온도를 아주 잘따라가는것처럼 보이나 실제 산업계 Application시에는 흔히 학계에서 나오는 논문들의 조건보다 고려해야할 상황과 조건이 많습니다.
공개되진 않았으나, 논문의 Table.2를 보면 AC-heating frequency를 0.83kHz~45kHz까지 올리는데요, Temperature rise rate('C/min)은 이에 정비례하고, Measured Heating time(min)은 반비례하며 감소합니다.
여기서 한가지 궁금한점은 이 온도가 배터리 셀의 어디부분이냐인점입니다. 45kHz라면 충분히 Skin effect가 발생할정도의 주파수인데 그렇다면 유도전류가 도체의 표면에 집중되기때문에 코어 온도와의 차이가 생길수 있습니다. 1RC ECM에 너무 과한걸 바라는것일 수 있지만, 이런부분까지 포함하여 전기화학모델을 통해 해석되면 더욱 재미있을것같습니다.
Results
1RC-ECM으로도 이정도 성능으로 온도를 예측한다는점은 재미있습니다.
논문 내용을 보면 열역학적으로 심도있고 논리적인 과정을 통해 임피던스와 각 ECM의 컴포넌트들이 정해집니다.
참조
[1] Yunlong Shang, Chong Zhu, Gaopeng Lu, Qi Zhang, Naxin Cui, Chenghui Zhang,Modeling and analysis of high-frequency alternating-current heating for lithium-ion batteries under low-temperatureoperations,Journal of Power Sources,Volume 450,2020,227435,ISSN 0378-7753, https://doi.org/10.1016/j.jpowsour.2019.227435.
댓글