논문 전문 : https://www.mdpi.com/2032-6653/14/7/188
[출처] Li, Y.; Luo, L.; Zhang, C.; Liu, H. State of Health Assessment for Lithium-Ion Batteries Using Incremental Energy Analysis and Bidirectional Long Short-Term Memory. World Electr. Veh. J. 2023, 14, 188. https://doi.org/10.3390/wevj14070188
※ The picture and content of this article are from the original paper.
This article is more of an intuitive understanding than academic analysis.
[논문 요약]
State of Health Assessment for Lithium-Ion Batteries Using Incremental Energy Analysis and Bidirectional Long Short-Term Memory
본 논문은 IEA를 기반으로 배터리의 열화정도를 추정하는 연구입니다.
IEA란 dE(Energy)/dt 입니다. ICA(Incremental Capacity Analysis, dQ/dV)에서 분자만 바뀌었다고 보시면 될것같습니다.
배터리의 화학적 특성을 이해함에 있어 기본적으로 에너지는 용량을 포함하는 개념이기에, 경우에따라 ICA보다 더욱 복합적인 상태변화를 관측할 수 있습니다.
하지만 유의해야할점은, 변수가 추가되고 고도화될수록 무조건 좋은것이 아니라 더욱더 민감해지고 약간의 외란에도 영향을 받습니다. 따라서, ICA와 IEA중 어느것이 유용할지는 내가 보려고하는 상태와 조건에 따라 달라지는것이지 어떤것이 좋다고 규정할수는 없습니다.
Contents

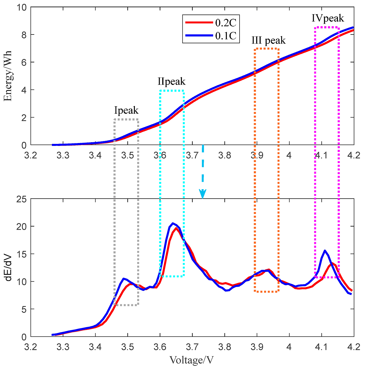
dQ/dV와 dE/dV는 궤를 같이하는 방식이기 때문에, 기본적인 그래프의 개형은 비슷합니다.
소재에 따라 달라지긴 하지만, 일반적으로 3~4개의 Peak가 나오고 이 Peak영역은 상변화가 가장 많이 일어난다는것을 의미하기때문에 Peak의 Height, Width, 혹은 Shifting된 정도에따라 열화 추정을 하는 논문은 아주 많습니다.
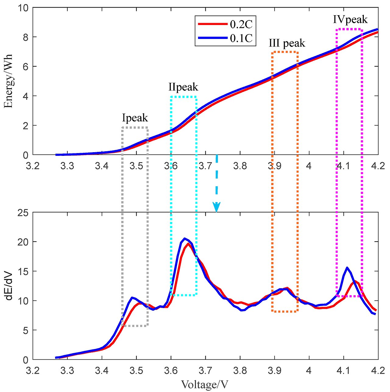
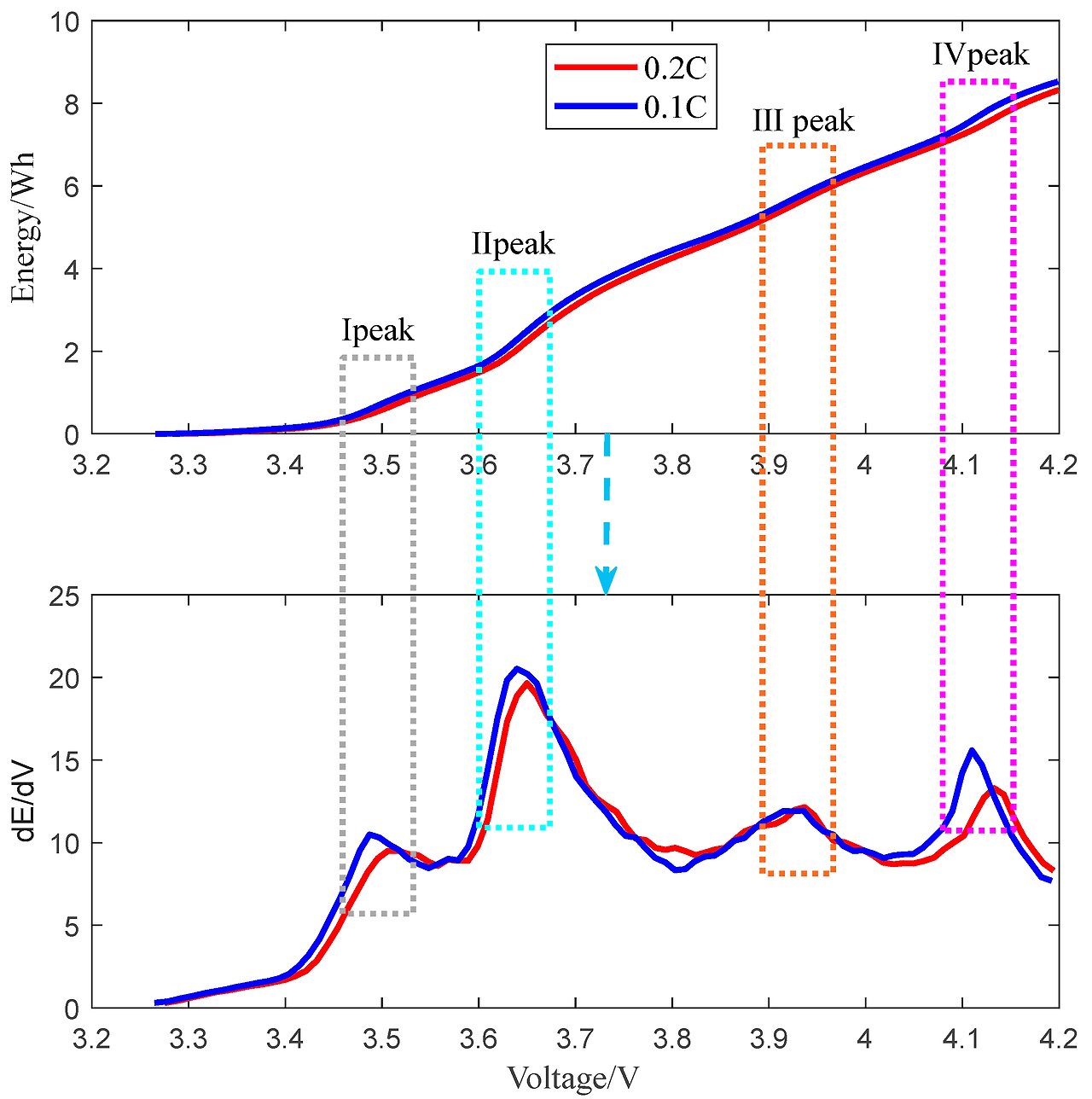
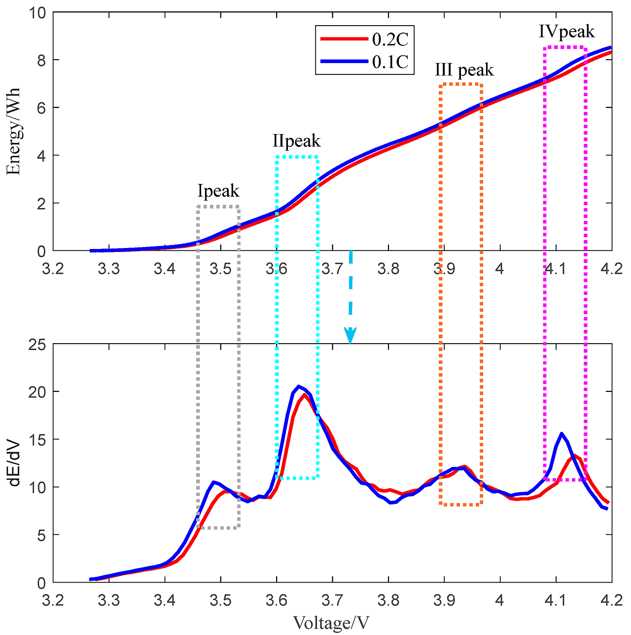
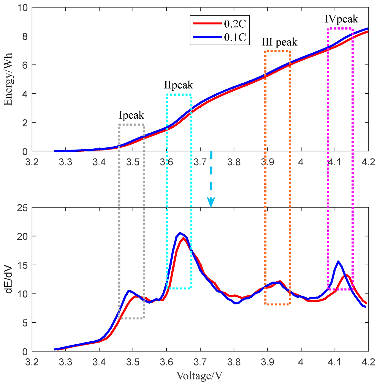
위 그림은 C-rate에 따라 그려놓은것인데, C-rate가 높으면 낮은 C-rate대비 저항이 커지는것처럼 해석하 수 있습니다. 즉, C-rate가 높을수록 오른쪽으로 Shifting되는 경향을 보이는데, dE/dV또한 동일함을 확인할 수 있습니다.

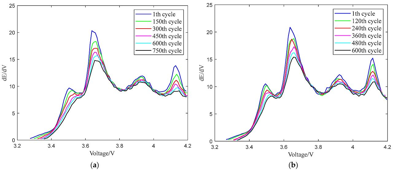
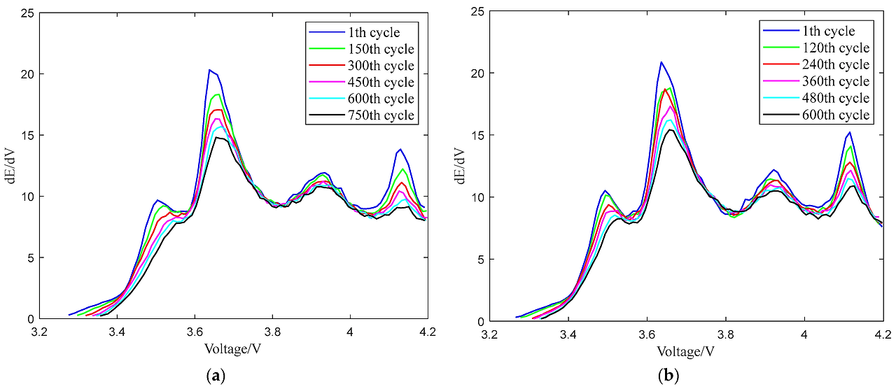
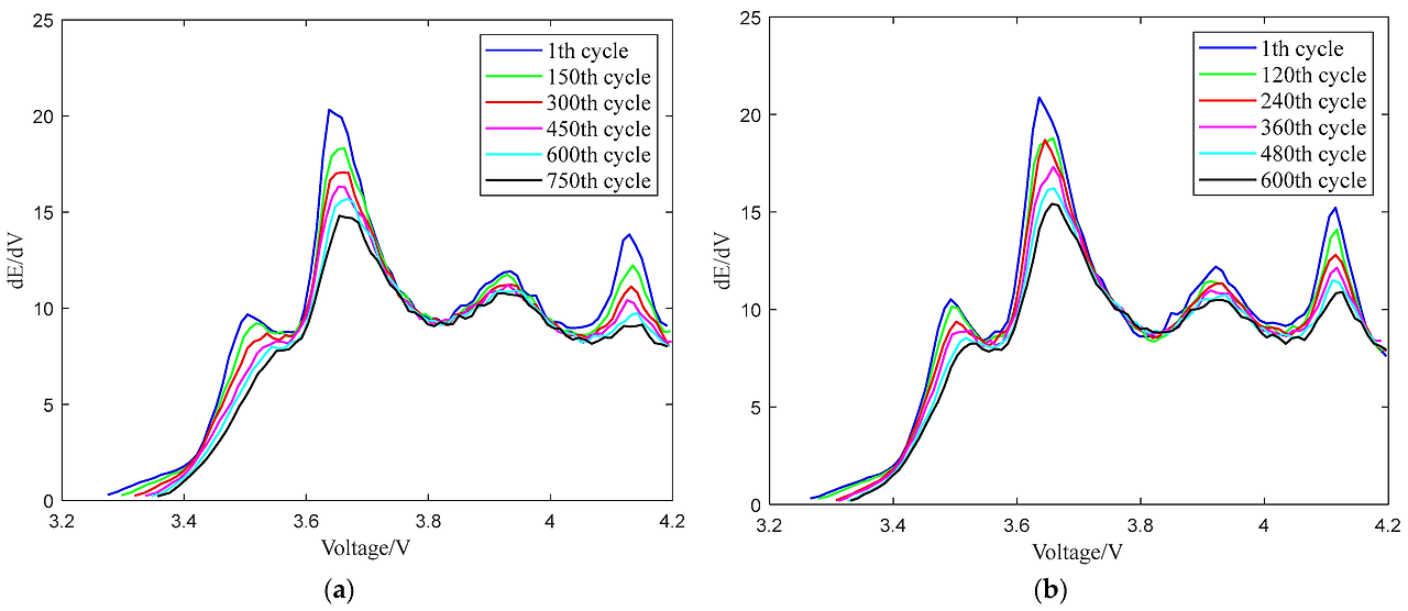
사이클을 돌리면서 IEA의 개형을 그려놓은 그래프입니다.
사이클을 돌리면 용량열화와 저항열화가 동시에 이루어지게 됩니다. 왼쪽은 0.2C로 사이클을 돌린것이고, 오른쪽은 0.1C로 사이클을 돌린것인데 열화가 될수록 오른쪽으로 Shifting되는것이 보이나 그렇게까지 크진 않은것을 볼 수 있습니다. ICA였다면 조금더 극명하게 Shifting이 되었을텐데 분자에 전압성분이 들어가면서, 분자분모 모두 저항성분을 고려해주게된 관계로 이 부분이 조금 희석되지 않았나 추정됩니다.
그리고, Peak위치는 열화가 될수록 낮아지고 있습니다. 이는 ICA와 동일합니다. 동일한 전압 간격에 대해 용량열화가 진행되면 상변화시 변화는 용량의 절대 양도 작아지게됩니다. 이때문에 용량열화가되면 ICA Peak가 낮아지게 됩니다.
논문의 저자는 이 Peak위치와 SOH의 관계에 대해 하나하나 Correlation을 구했다고합니다. 그 결과 약 3.9V부근에 위치하는 세번째 Peak는 Correlation이 낮게나왔다고합니다.(0.2C : 91%, 0.1C : 95%) 그림으로만봐도 노이즈같이 보이는 부분도 보이고 사이클에따라 Peak 위치의 Gap이 많이나지 않습니다.
ICA도 동일한데, Peak의 높이가 낮을수록 다른 Peak대비 상변화가 크게발생하지않기때문에 열화에 의한 구분가능성도 점점 낮아지게 됩니다. 즉, Peak가 Fresh셀일때부터 높고 견고하게 있는것들이 아니면, C-rate나 온도에 따라서 있다가 없다가 하는 Peak들이기때문에 외란의 영향을 많이 받습니다.

이 다음 레퍼토리는 딥러닝을 하겠다는 흔한 이야기입니다.
이런 류의 논문은 어떤 의미가있어서가아니라, 그냥 어떠한 Health Index를 찾게되면 딥러닝이나 머신러닝을 하는게 뭔가 국룰처럼되어가고있습니다. 국밥처럼 어느정도이상의 성능은 항상 보장해주기때문입니다.
각 Peak 위치들에 따라 SOH를 Regression하는것으로, Bidirectional LSTM이니, GRU니 뭘쓰든 상관없이 성능은 나오기때문에 이 논문에서 중요한 부분은 아닙니다.
Results
ICA에 관해서는 연구가 많은데, IEA는 분자에 전압이라는 변수만 하나 더추가되었을뿐임에도 워낙 외란에 민감하여 상대적으로 연구가 덜되고 있는 Index입니다. 물론 엄격한 사용조건이나 시험환경이 아니면 실제 Application하기도 어렵구요.
하지만, 이런것들의 존재를 알고 안쓰는것과 몰라서 안쓰는것은 다르기때문에 한번쯤 정리해보면 좋을것 같습니다. 더불어, 심심할때 ICA류에서 분자와 분모를 어떻게 조금더 바꿔주면 더 안정적이고 괜찮은 Health Index가 될까도 생각해보면 시간도잘가고 재미있습니다.
참조
[1] Li, Y.; Luo, L.; Zhang, C.; Liu, H. State of Health Assessment for Lithium-Ion Batteries Using Incremental Energy Analysis and Bidirectional Long Short-Term Memory. World Electr. Veh. J. 2023, 14, 188. https://doi.org/10.3390/wevj14070188
댓글