| 일 | 월 | 화 | 수 | 목 | 금 | 토 |
|---|---|---|---|---|---|---|
| 1 | 2 | |||||
| 3 | 4 | 5 | 6 | 7 | 8 | 9 |
| 10 | 11 | 12 | 13 | 14 | 15 | 16 |
| 17 | 18 | 19 | 20 | 21 | 22 | 23 |
| 24 | 25 | 26 | 27 | 28 | 29 | 30 |
| 31 |
- Battery SOH
- 배터리 EIS
- state of health
- 배터리 AI
- 리튬배터리
- bms
- 배터리 진단
- 머신러닝
- tensorflow
- eis
- 코이딥
- 텐서플로우
- Battery Management System
- Kalman filter
- Battery AI
- Battery modeling
- Incremental Capacity Analysis
- 딥러닝 코드
- 코드로 이해하는 딥러닝
- Deep learning
- 머신러닝 코드
- Battery Deep Learning
- 딥러닝
- 배터리 딥러닝
- Machine Learning
- Azure
- 배터리 모델링
- 칼만필터
- AzureML
- 배터리 열화
- Today
- Total
Engineering insight
[Energy-2020] Preheating strategy of variable-frequency pulse for lithium battery in cold weather 본문
[Energy-2020] Preheating strategy of variable-frequency pulse for lithium battery in cold weather
Free-Nomad 2024. 2. 29. 12:35논문 전문 : https://onlinelibrary.wiley.com/doi/abs/10.1002/er.5715
[출처] https://doi.org/10.1002/er.5715
※ The picture and content of this article are from the original paper.
This article is more of an intuitive understanding than academic analysis.
[논문 요약]
Preheating strategy of variable-frequency pulse for lithium battery in cold weather
본 논문은 저온에서 배터리 자체발열만을 통해 승온을 하는 방식에 관한 연구입니다.
특히, 어떤 조건에서는 어떤 주파수로 제어하는것이 가장 큰 발열을 발생시키는지, 꼭 Constant Frequency로 제어를 해야하나? 라는 의문을 통해 Variable Frequency로 자체발열량을 극대화 해보자는 컨셉의 논문입니다.
다만, kHz단위까지 검토된 관계로 실제 산업계에서는 적용이 쉽지 않은 기술입니다.
Contents
본 논문은 HPPC, EIS를 통해 배터리 셀의 저항/임피던스를 찍어보고 등가회로 모델링 + 온도모델을 엮어 다양한 주파수 전류 제어에 대한 발열량을 검토하는 논문입니다.

이 모델링을 하는 과정에서, 저와는 상당히 다른 부분이 있었는데 바로 상기그림입니다.
저온에서는 저항이 크기때문에 하한전압에 빠르게 도달하는데요, 이때 실제 용량은 여전히 남아있습니다. 예를들어 100%부터 방전을해서 80%에서 하한전압을 도달하여 사용이 종료되었다 하더라도, 실제로 온도를 상온으로 올리면 80%에 해당하는 용량을 사용할 수 있습니다.
이 때문에, 저온에서 하한전압에 도달했다고해서 SOC를 0%라고 표기하진 않습니다. 일반적으로 상온 용량을 기준으로 SOC를 표기합니다. 하지만, 본 논문은 하한전압에 도달할때까지의 용량을 SOC의 분모로 사용했습니다.
이때문에 뒤에있을 모델링 방식에 대해서도 의구심을 가지게 되었습니다.

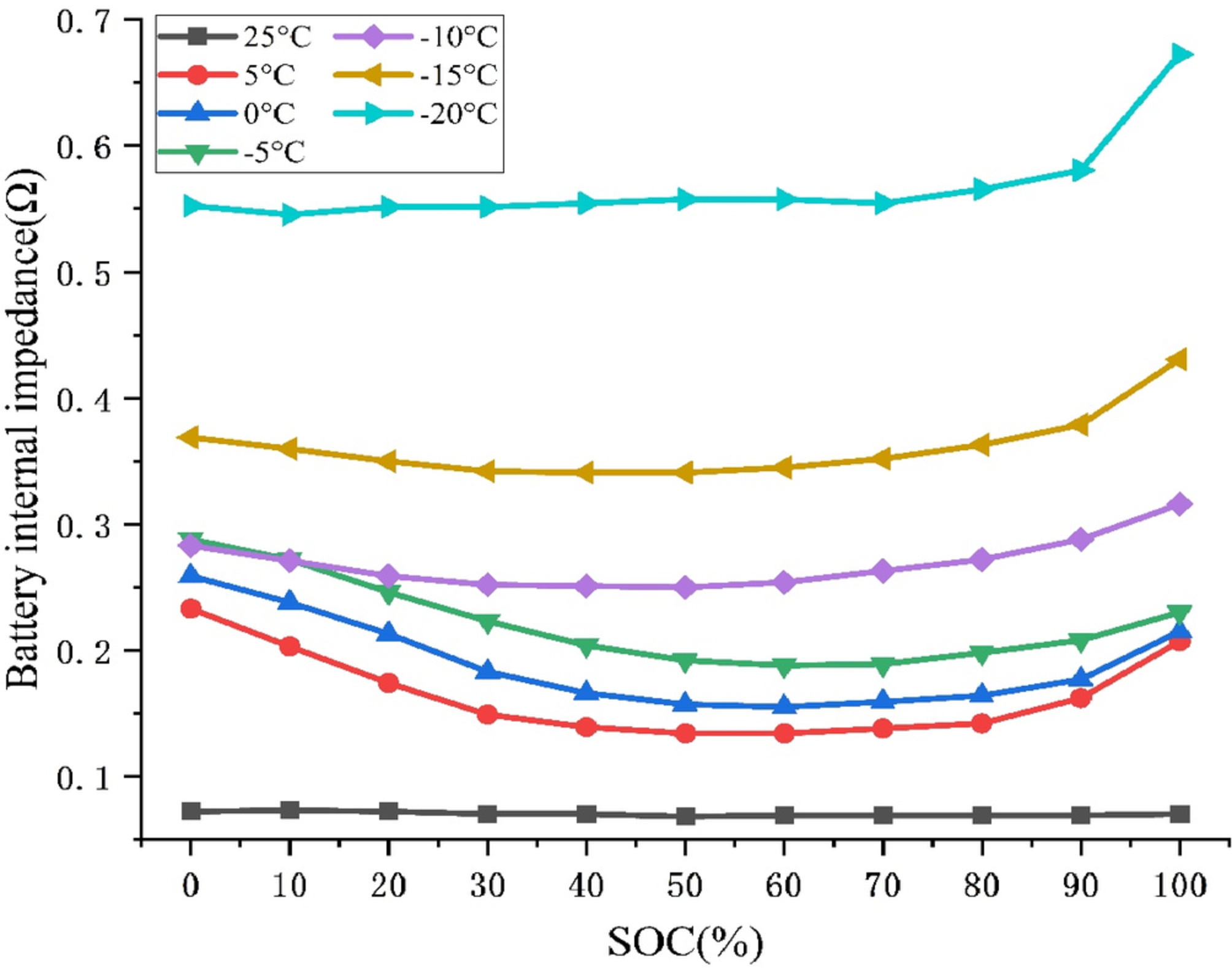
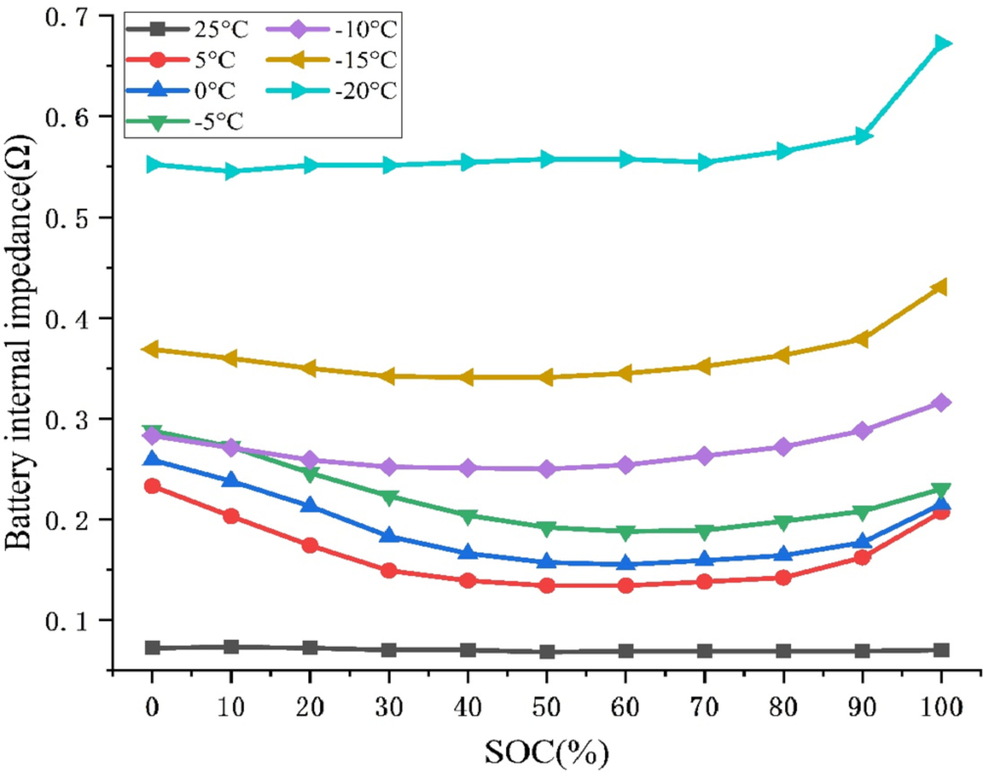
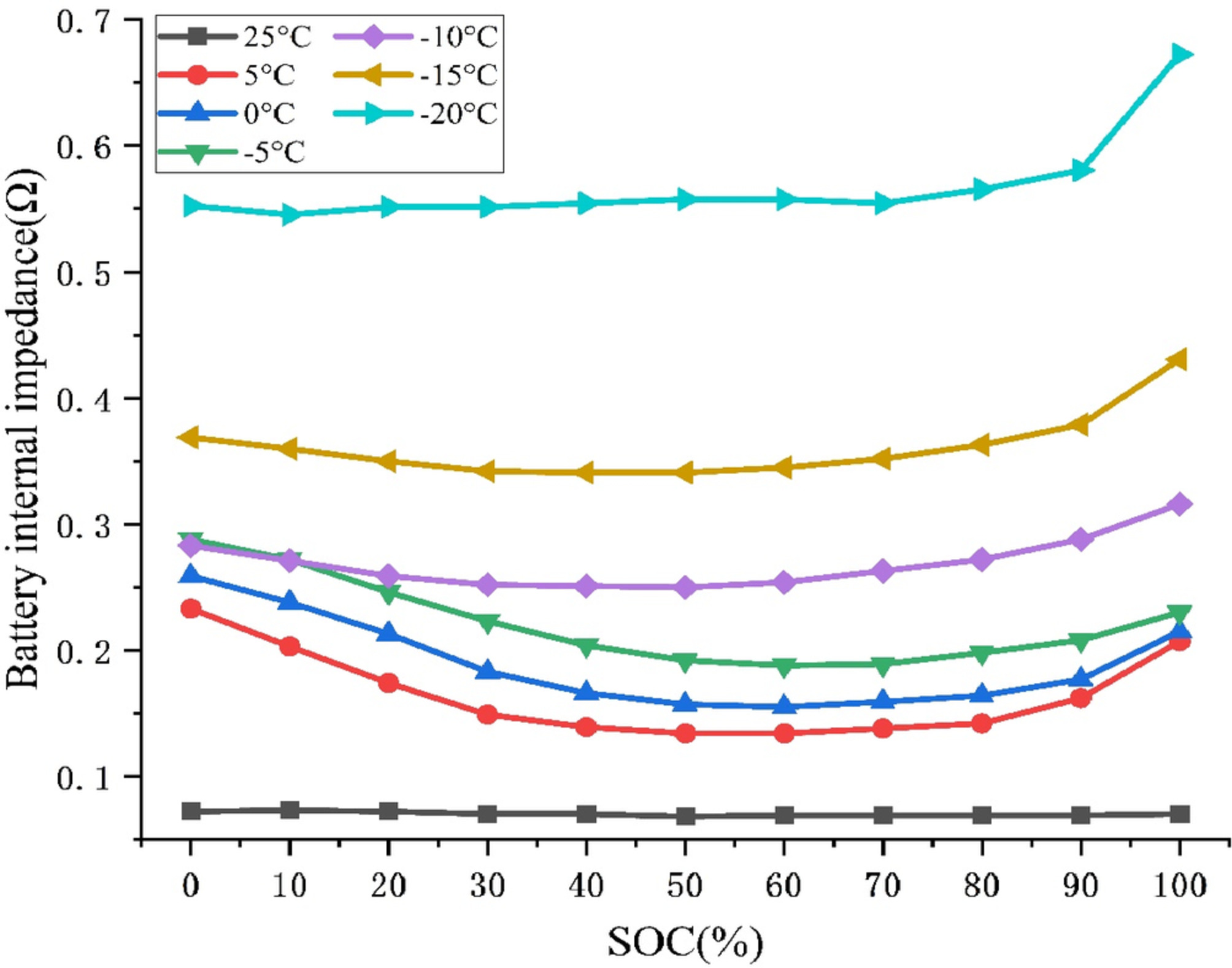
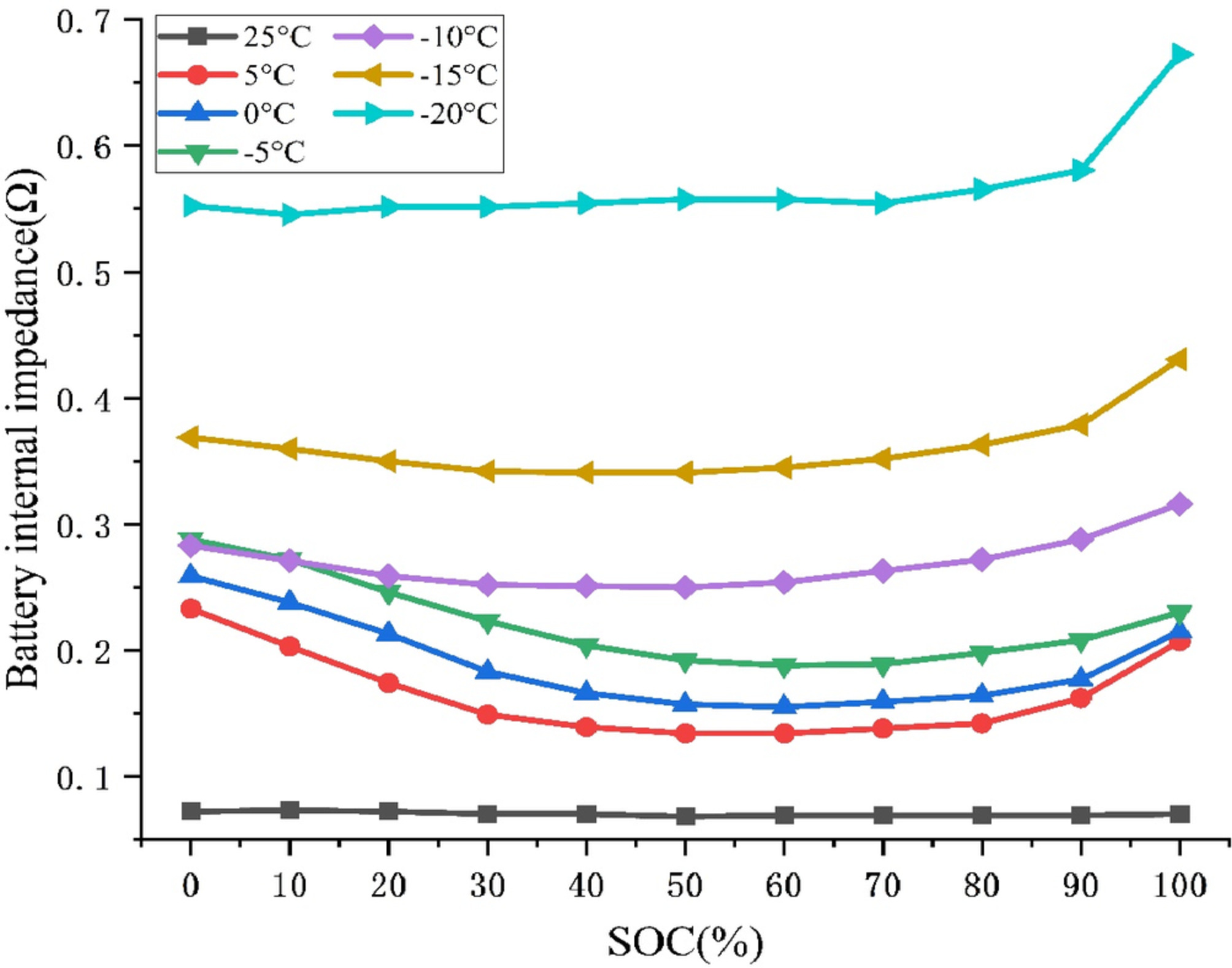
온도별 임피던스 추정값입니다.
-5'C~5'C는 꽤나 유사한 임피던스를 가지는것을 볼수있고, 극저온에서는 확실히 저항이 급격하게 상승하는것을 확인할 수 있습니다.

이런 실험과정들을 통해 시뮬레이션을 하기위한 배터리 등가회로-열모델을 구현합니다. 본 논문에서는 모델링보다 주파수제어가 어떻게 발열에 영향을 주는지가 메인이기에 그부분으로 넘어가보겠습니다.

Frequency 제어별 발열에 관한 상기 시뮬레이션 결과를 보면,
Constant Frequency(3.6kHz)제어를 했을때 발열이 가장 느림을 확인할 수 있습니다. -20도~5도까지 약 60분정도 걸리는 상황으로, 일반적인 상식상으론 고주파제어를 할수록 발열이 더 커지지않나라고 생각할수있는데 그 반대의 결과를 보여주었습니다. 오히려 1kHz제어가 발열이 더 잘된다는것 또한 놀랍네요(시뮬레이션 값이지만)
Variable Frequency로 주파수를 지속적으로 바꿔가면서 시뮬레이션했을때는 -20도~5도까지 약 10분정도 걸리는 것을 볼 수 있습니다. 3.6kHz 정주파수 제어를 할때보다 약 6배이상 빠르게 발열하는데, 2.8Ah의 코인셀이라서 이정도까지 차이가 나는것이 아닌가 생각됩니다.
Results
정말그런가? 에 대한 의구심이 드는 논문입니다.
정말 3.6kHz 제어를 했을때 1kHz일때보다 발열량이 낮나? 라는 생각이듭니다. 1RC ECM을 기반으로 모델링을 했는데요, ECM의 커패시터때문에 일정한 C-rate를 내보내는것보다 주파수제어를 할수록 발열이 낮아지는것처럼 모사(시뮬레이션)되게 됩니다. 실제 현상이 아니라요
즉, 논문의 저자가 표기하지않은것은, "그러면 주파수제어를 하는 정도와 동일한 파워를 가지는 전류를 CC로 인가하면 발열량이 어떻게되냐?" 라고하는 부분입니다.
즉, 본 논문의 결과는 실제 현상을 반영하는 정도가 낮고, 1RC ECM은 모델상 이렇게밖에 결과가 나올수 없다라고 생각하고 있습니다.
참조
