논문 전문 : https://www.sciencedirect.com/science/article/abs/pii/S0957417411004714
[출처] Achmad Widodo, Min-Chan Shim, Wahyu Caesarendra, Bo-Suk Yang,Intelligent prognostics for battery health monitoring based on sample entropy,Expert Systems with Applications,Volume 38, Issue 9,2011,Pages 11763-11769,ISSN 0957-4174, https://doi.org/10.1016/j.eswa.2011.03.063.
※ The picture and content of this article are from the original paper.
[논문요약]
Intelligent prognostics for battery health monitoring based on sample entropy
CC로방전하면서 Discharge Voltage의 Time series Sequence에 대한 Entropy 연산을 통한 SOH를 추정하는 논문입니다.
Sample Entropy그 자체를 Machine Learnig(SVM)학습의 Input으로 쓴다는것이 특이합니다.

Purpose
배터리 열화추정을 위해 동일한 시험케이스에 대한 전압 거동을 여러사이클에 걸쳐 비교하는 논문입니다.
최종 결과물(Sample Entropy)을 SVM의 Input, SOH(실측값)을 output으로 학습함으로써 Regression을 완성하는 연구입니다.
Contents

Sample Entropy란 시계열데이터에서의 두 시퀀스간 비교를 위해 자주 사용되는 스킬입니다.
시계열데이터에 대한 신호의 복잡성을 평가하고 이상 상태를 진사하는 것으로, 두 시퀀스가 매칭이 될 확률에 대한 표현입니다.
여기까지만 정리해도 내용은 심플합니다.
동일한 전류로 방전하는 여러 Cycle데이터들에 대해 각 전압구간별로 나누어 상관성 비교를 하는것입니다.
방법론만 Sample Entropy라는것을 사용한다고 보면 됩니다.

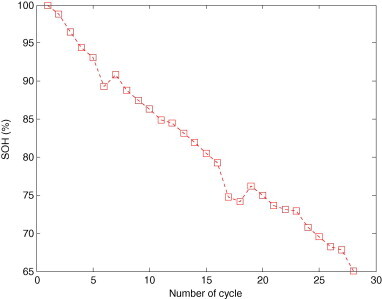
결과는 하기와 같은 정확도를 보입니다.
동일 전류에 대한 전압변화량은 SOH와 직접적인 연관성이 있을수밖에 없기때문에 어찌보면 조금 당연한 결과인듯 보이며, 한가지 의문점이 드는것은 Cycle수 대비 SOH가 너무많이빠지는데 무슨 셀인가 하는것입니다.
SOH가 들쭉날쭉하는것은 센싱오차를 감안하여 그렇다쳐도, 28Cycle만에 SOH가 65가 되는 셀은 애초에 정상이 아닌것으로 생각됩니다.

Results
11년전 논문임을 감안할때는 다소 인사이트가 있을 수 있으나, 현재는 너무나도 흔한 기법들이 되어버린 Sample Entropy와 SVM입니다. Dynamic Profile을 사용하는 EV에는 적용불가한 기술입니다.
참조
[1] Achmad Widodo, Min-Chan Shim, Wahyu Caesarendra, Bo-Suk Yang,Intelligent prognostics for battery health monitoring based on sample entropy,Expert Systems with Applications,Volume 38, Issue 9,2011,Pages 11763-11769,ISSN 0957-4174, https://doi.org/10.1016/j.eswa.2011.03.063.
댓글