논문 전문 : https://www.sciencedirect.com/science/article/abs/pii/S0360544221021058
[출처] Krupp, A.; Ferg, E.; Schuldt, F.; Derendorf, K.; Agert, C. Incremental Capacity Analysis as a State of Health Estimation Method for Lithium-Ion Battery Modules with Series-Connected Cells. Batteries 2021, 7, 2. https://doi.org/10.3390/batteries7010002
※ The picture and content of this article are from the original paper.
[논문요약]
Incremental Capacity Analysis as a SOH Estimation Method For LIB Modules with Series-Connected Cells
LFP(LiFePO4)셀을 분석하는 방법에 대해 서치하던 중, 찾은 논문입니다.
LFP는 전류,전압 중 OCV plateau라는 성질이 있어 사실상 Current만이 배터리 상태추정에 사용가능한 데이터이기에 전압을 대체할 다른 어떤 변수에 대한 고민이 많았던것 같습니다.
따라서, 다른 배터리들도 해당 접근법을 사용한 논문은 많았지만 유독 ICA와 DVA를 통한(혹은 Only) 논문이 많이 보였습니다.
해당 논문도 마찬가지로 DVA, ICA를 사용했고 이를 통해 SOH를 추정하고자 하는 논문입니다.
Purpose
ICA를 통해 LFP 배터리의 SOH를 추정하는 논문입니다.
Module 단위에서 시도를 했다는 적이 상당히 고무적이였지만, 온도조건은 상온 한정이였습니다.
Contents

필자는 ICA를 그리고, 열화 상태를 4가지 케이스로 나누어 진행했습니다.
(a)는 리튬이온 소실 즉, SEI 형성 혹은 화학적 부반응에 의해 리튬이온 중성화가 된 경우입니다. 이경우에는 3.4V정도의 3번째 Peak값이 낮아졌다고 합니다.
(b)는 Internal resistance증가입니다. 전체적으로 오른쪽으로 Shift하는 개형이 보입니다.
(c)는 Anode의 활물질이 줄어든 경우로, 이것은 SEI와 일부 연관이 있습니다. 3개의 Peak치가 모두 낮아지는것을 확인할 수 있습니다.
(d)는 Cathode의 활물질이 줄어든 경우로, 이 경우는 세번째 Peak가 낮아지긴 하지만 같은 경우도 있었다고합니다. 즉, 다른 열화들대비 큰 변화가 없었다고합니다.
해당 논문에서 고무적인 부분은 Module 단에서 했다는것인데요,
Module단에서 했을때 셀간 용량(혹은 열화)편차가 있는 경우와 없는 경우를 나누어 연구를 진행했습니다.

SOH가 같은 경우는, 사실상 동일 셀에 ICA를 적용한것입니다.
SOH가 다른 경우에는 각각 한개씩 dV를 구하고 평균을 한다음 dQ를 해주신다고 보면 됩니다.

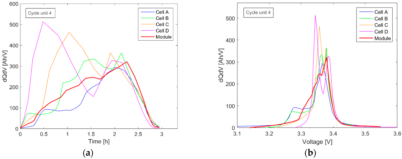
열화된 A,B,C,D 각각 셀들과 Module단의 ICA그림입니다.
보시면, Module단에서 보는것이 아무래도 여러개의 평균을 보는것과 같다보니 마치 Low Pass Filter를 통과시켰듯 뭔가 좀 정돈된 모습이 보입니다.
셀 D가 가장 Fresh하고 셀A로 갈수록 열화된것인데, 이게 ICA로도 볼 수 있는것이 Peak점이 점점 낮아지고 있습니다.
x축을 Time과 Voltage 각가으로 본것인데 x축을 뭘로 두냐에 따라 분석할 수 있는 아이템도 여러개가 될 수 있을것 같습니다.

하지만, 상온 25'C 한정 진행했을 뿐만 아니라, 아주 이상적인 Lab scale에서 진행되었다는 점에서 양산 제품 적용시 발생할 Noise성 데이터들을 어떻게 잘 조절할지가 중요하다고 생각합니다.
즉, Noise가 어떻게 튀냐에 따라 해당 개형은 얼마나 바뀔지도 미지수일 뿐더러, Lab scale처럼 완전한 Relaxation상태를 거치고 완전평형상태에서 시험을 진행할 순 없기때문입니다.
Results
결과적으로 ICA의 Peak치 혹은 Peak의 소실 유무에따라서 열화정도를 일부 파악할 수 있다고합니다.
하지만, DVA든 ICA든 변화량을 통해 추정하는 것 자체가 너무나 Sensitive한 데이터이기때문에, 실제 Field에서는 사용하기 어렵다는 단점이 있습니다.
물론, 양산목적으로 쓴 논문은 아니기에 그런것 까지 기대하진 않았습니다.
해당 논문도 이전 논문과 마찬가지로 LFP는 DVA ICA로 접근을 해보라는 Insight를 준 논문이였습니다.
https://limitsinx.tistory.com/197
참조
1. Krupp, A.; Ferg, E.; Schuldt, F.; Derendorf, K.; Agert, C. Incremental Capacity Analysis as a State of Health Estimation Method for Lithium-Ion Battery Modules with Series-Connected Cells. Batteries 2021, 7, 2. https://doi.org/10.3390/batteries7010002
댓글