논문 전문 : https://www.hindawi.com/journals/mpe/2015/168529/
[출처] Changhao Piao, Zhaoguang Wang, Ju Cao, Wei Zhang, Sheng Lu, "Lithium-Ion Battery Cell-Balancing Algorithm for Battery Management System Based on Real-Time Outlier Detection", Mathematical Problems in Engineering, vol. 2015, Article ID 168529, 12 pages, 2015. https://doi.org/10.1155/2015/168529https://doi.org/10.1016/j.jpowsour.2021.230024.
※ The picture and content of this article are from the original paper.
[논문요약]
Lithium-Ion Battery Cell Balancing Algorithm for Battery Management System Based on Real-Time Outlier Detection
셀밸런싱에 관해 outlier detection이라는 algorithm을 개발하여, 밸런싱이 필요한 이상셀을 감지하는 방식에 대한 논문입니다.
딱히, 특이한점은 보이지 않았고, 실제 차량 BMS에 적용하기에는 무리가 있는 논문이였습니다.
Purpose
ESS, EV 및 고부하용 BSA는 배터리 셀간 밸런싱이 아주 필수적입니다.
밸런싱모드를 OFF하고 몇달간 사용하면 많이는 용량이 30%까지도 벌어지기 때문입니다.
LFP(리튬인산철)의 OCV Plateau성분을 가질때 전압편차말고 다른방식으로 어떻게 하는게 있나..봤는데 역시 용량편차정도 보는방법외에 크게 특이한 부분은 없었습니다.
Contents

논문의 시퀀스는 다른 셀밸런싱과 동일합니다.
배터리 팩의 N개셀들의 전압/SOC(전류적산) 모니터링 → 편차가나니? → 편차나면 셀밸런싱 ON아니면, 계속 모니터링
이것인데요
전압편차를 보고 셀밸런싱 하는법이야 워낙 많이 사용하고, 아마 대부분의 EV/ESS업체들에서 이방식을 채택하고 있을거라 생각됩니다.
하지만, LFP(리튬인산철)처럼 전압 Plateau성분을 가지고있으면, 전압편차로 셀밸런싱을 할 수는 없습니다.
해당 논문에서는 Cell Balancing을 위한 모니터링 변수로 딱 2개가 있다고합니다. 전압,SOC
그런데 전압은 의미가없으니 SOC를 봐야할텐데요.. 여기서 실제 양산필드와 아카데미의 차이가나게됩니다.
두개중 하나를 못쓰면 나머지 하나를 쓰는것은 당연한것입니다.
그럼.. 전기차에 7200개 원통형배터리셀을 쓰는 경우, 7200개 배터리셀을 모두 SOC각자 추정해야하는지,
설령 불가능하지만 각자 추정했더라도, 이것을 모두 상대비교하는데 걸리는 Computational Power의 임베디드 시스템이 차량에 들어갈수있을지, 이런것에 대한 고민여부가 큰 차이입니다.
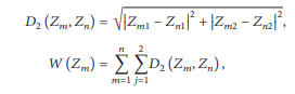
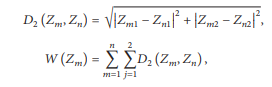
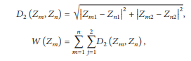
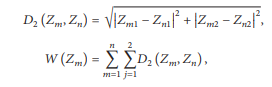
이 논문에서 셀밸런싱이 필요한 Abnormal Cell을 판단하는 기준은 하기 수식과 같습니다.


각 셀들의 전압과 SOC에 대한 표준편차를 구합니다.
그다음, 각 셀들끼리 모두 전압,SOC표준편차의 Ucledian Distance를 구하고, 이것이 특정 임계값(Threshold)를 넘어서면 Abnormal 셀로 보겠다는것입니다.
사실 이게 되는거면 그냥 셀전압만 봐도 되는데말이죠

상기 로직을 통해 Abnormal Cell을 걸러내고, Passive Balancing을 통해 셀밸런싱을 진행했다고 하는데요
이또한, 실제 BSA시험이 아니라 Matlab에서 제공하는 배터리 툴박스를 써서 모두 시뮬레이션으로만 나온 값이라고합니다.
셀밸런싱 ON/OFF에따라 9.5%의 가용 용량 증대효과도 얻었다고 하는데, 이 또한 시뮬레이션 결과입니다.
Results

성능결과표입니다.
Voltage-based balancing과 Outlier Detection Balancing(해당 논문에서 제시)의 성능비교를 보면,
복잡도 및 Time cost대비 성능이 딱히 좋아지는것 같지는 않아보입니다.
이정도면, 센서오차나 시뮬레이션 누적오차로 인해 발생할 수 있는 오차정도가 아닌가 싶을정도입니다.
Olympic data를 올리는 논문이라는 것을 감안하면, 더더욱이 성능 상승은 없는것처럼 보입니다.
셀밸런싱과 관련해서, 어떤 다른 Standard가 될수있는 변수를 만들거나 혹은 찾아으려고 노력하고있는데요,
보통 대부분의 셀밸런싱 논문들이 이런식입니다.
결국은 전압이랑 용량편차(센싱값)을 보고 그거의 Standard Deviation을 구하든, Hamming Distance를 구하든 일부 계산방식에 의한 차이라는것을요
LFP와 같은 전극 특성에 의해 전압을 쓸수없고, SOC도 BSA단위로 용량적산으로 얻을 수 없는 경우라면 어떤식으로 밸런싱 필요유무를 판단해야할지 계속 논문서칭과 고민이 필요할듯합니다.
참조
1.Changhao Piao, Zhaoguang Wang, Ju Cao, Wei Zhang, Sheng Lu, "Lithium-Ion Battery Cell-Balancing Algorithm for Battery Management System Based on Real-Time Outlier Detection", Mathematical Problems in Engineering, vol. 2015, Article ID 168529, 12 pages, 2015. https://doi.org/10.1155/2015/168529https://doi.org/10.1016/j.jpowsour.2021.230024.
댓글