논문 전문 : https://ieeexplore.ieee.org/document/6517504
[출처] M. Petzl and M. A. Danzer, "Advancements in OCV Measurement and Analysis for Lithium-Ion Batteries," in IEEE Transactions on Energy Conversion, vol. 28, no. 3, pp. 675-681, Sept. 2013, doi: 10.1109/TEC.2013.2259490.
※ The picture and content of this article are from the original paper.
[논문요약]
Advancements in OCV Measurement and Analysis for Lithium-Ion Batteries
OCV를 추정하는 방법들이 여러개 존재하는데 가장 대표적으로 쓰이는 2가지방법에 대해 비교분석하는 논문입니다.
Purpose
중국쪽 논문에서 이런식으로 많이하던데 아주 낮은 C-rate로 CC 충/방전하고 두개를 더한값을 OCV로 쓰는 방법이 있고, 두번째로는 특정 C-rate로 특정 SOC까지 방전하고 Rest를 길게가져가고 다시 방전하고.. 이런식으로 직접 Relaxation을 시키면서 OCV를 측정하는 방법입니다.
논문의 필자는 후자를 "Incremental OCV"라고 굳이? 이름을 붙였네요 누구나다 이렇게하는데
논문을 쓰기위해서 조건들을 좀 다르게하긴 했습니다.
1C-rate로 방전하며, 5% 단위로 방전하고 2시간 Rest, 혹은 1%단위로 방전하고 6분 Rest, .... 이런식으로 SOC 간격(Resolution)과 Relaxation Time을 다르게하며 실험을 진행했습니다.
전자의 OCV구하는 방법도 0.2C-rate부터 0.025C-rate까지 몇가지 케이스에 나누어 진행을 했으며, 전체 실험은 25'C 챔버외기온으로 맞추어 주었습니다.
Contents
낮은 C-rate로 CC충방전을 하여 두개의 평균값을 Reference OCV로 본다고 하면, 데이터 수가 엄청나게 많습니다.
SOC 0.000X%단위까지도 모두 알수있기때문입니다.
하지만, 필자는 이런식으로 OCV를 구하는것에 반감을 표합니다.
그 이유는 크게 두가지인데 첫번째로 DVA나 다른 Analysis를 하기에 데이터의수가 너무 많아서 비효율적이다 라는것과,
아무리 낮은 C-rate라도 Polarization(논문에선 Kinetic Effect라고 표현)이 발생할 수 밖에없기때문에 정확한 OCV라고 보기 어렵다는 점입니다.
저도 이부분에 대해 공감을 하고있는게, 충방전의 Hystersis가 1:1로 동일한 비율이라면 두개의 평균값을 Reference OCV로 사용해도 되지만, 실제로는 Ratio가 다르기때문에 특히 고SOC로 갈수록 다른 결과가 나타날 수 있습니다.

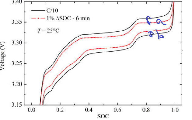
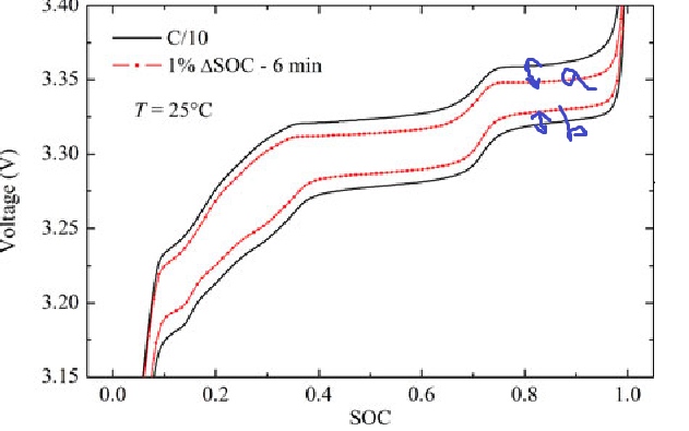
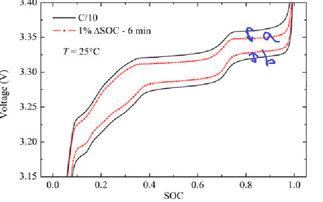
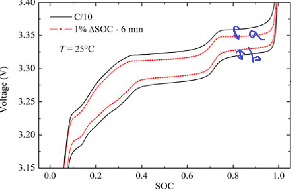
실제로 0.1C-rate로 CC 충방전을 한것을 보면, 빨간색은 1% SOC 6분 Rest로 OCV를 구한것인데 일단은 이것이 Reference라고 보고 비교해볼수있습니다.
a와 b의 간격 즉, 충전과 방전의 Hystersis가 동일하다면, 두개의 평균값을 Reference OCV로 볼 수 있겠지만, 두개가 비율이 다르기때문에 평균값을 Reference로 사용할 경우, 오차가 발생할 수 있습니다.
따라서, 필자는 Incremental OCV라고 본인들이 굳이 명명한 방법을 써야한다고 하는데요
여기서 세갈래길이 나옵니다.
① SOC interval 5%, 2시간 Rest
② SOC interval 1%, 24분 Rest
③ SOC interval 0.5% 6분 Rest
이 세가지중에 어떤것이 가장 괜찮을지에 대해분석을 하는논문입니다.
좀 의문스러운 부분은, 필자는 굳이 OCV를 측정할때 CC Pulse Discharge를 하는데, 이걸 가지고 DVA를 해서 DV그래프가 잘나오는지 안나오는지에 대한 정도로 OCV가 잘나왔나 안나왔나를 보는것입니다.
이사람의 논리는 "DVA는 electrode의 characteristic을 나타내는 방법이기에 DVA가 잘나올수 있는 환경에서 얻어진 OCV는 더욱 의미가 있다고 볼수있다" 라고합니다.
저는 잘 이해가안되는데요, DVA는 그냥 Pulse Discharge로 안하고 CC로 쭉 넣어줘도 될뿐만 아니라, 굳이 DVA가 잘나오는지 안나오는지랑 OCV를 잘추정했느냐랑 무슨 상관관계인지 연결고리가 있긴하지만, 당위성이 좀 약한듯 합니다.

이런식으로 OCV 측정방법에 따라 그 과정에서 발생하는 CC충/방전시의 데이터를 가지고 DVA/ICA를 진행합니다.
LFP는 Electrode Potential Range가 낮고 OCV Plateau한 특성이 강해 DVA로 특성을 파악하기 어렵다고 하며, Positive Electrode의 전위변화보다 Negative Electrode의 Potential에 의존성이 강하기 때문이라고 합니다.
DVA에서의 Peak Heights와 Shift된 정도를 가지고 Aging Process를 알 수 있다고 하는데, 필자는 이런것을 할 수 있으면서 OCV도 측정할 수 있는 두마리 토끼를 한번에 잡고자 하는 목표로 연구를 진행한듯합니다.
따라서, 이 논문의 본 주제는 어떻게해야 OCV를 정합성 높게 찾을 수 있을것인가? 이지만 DVA와 ICA에 대한 이야기가 대부분입니다.

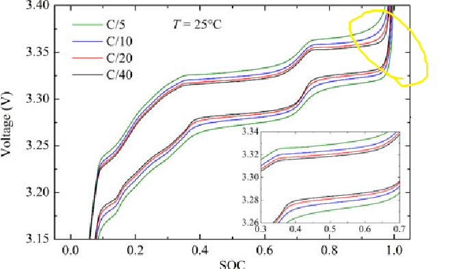
위의 그래프에서 C-rate가 높을수록 분극이 커서 전압이 높으며 SOC 100% 부근에서 빠르게 전압이 상승하는것을 확인할 수 있습니다.
그 이유는, C-rate가 높을수록 Intercalation의 속도가 빨라지기때문도 있지만, 동일한 배터리 셀이라도 고C-rate로 넣으면 Internal Resistance가 증가해서, 상한전압에 빨리 도달하기 때문이기도 합니다.

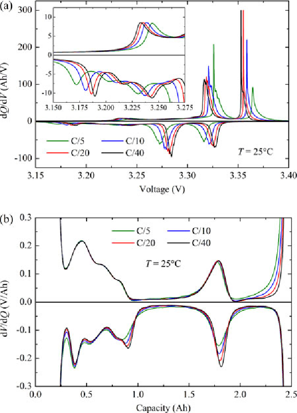
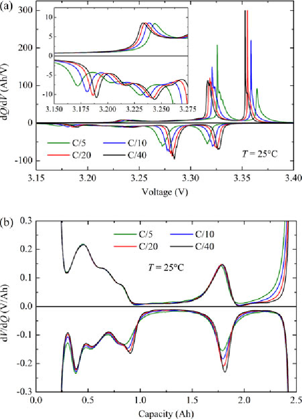
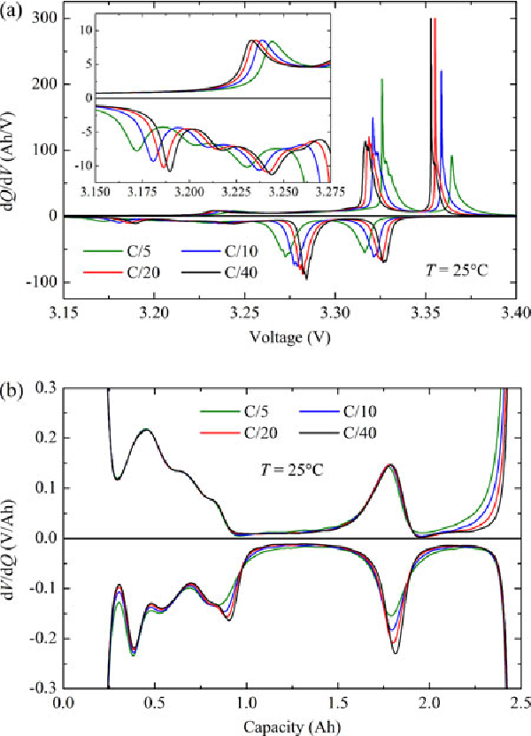
이 논문의 가장 메인 그래프입니다.
(a)그래프를 보면, C-rate가 낮을수록 왼쪽으로 Shift되는 ICA 개형을 얻을 수 있는데,
이것은 논리적으로 간단합니다. 즉, C-rate가 낮다는 것은 Intercalation에 과부하가 걸리지 않기때문에 저항이 많이 걸리지 않는다는 뜻으로 이렇게되면 dq/dv에서 x축인 Voltage가 Term으로 일정할때 q는 높은 C-rate보다 한발 앞서서 모든현상이 발생하기 때문입니다.
즉, 동일한 전압에서도 SOC로 치면 낮은 C-rate일때가 더 높기때문에 높은 C-rate일때 뒤에서 나타나는 현상이 낮은 C-rate일때는 먼저보일 수 있다는것이죠, 이게 그래프로보면 왼쪽으로 shift를 한것처럼 보이는것입니다.
이것은 열화에서도 통용됩니다. 열화가된다는것은 용량이 줄어든다는것이고, 용량이 줄어든다는것은 C-rate기준이 줄어든다는것입니다.
즉, 열화가 되었다면 동일한 10A여도 셀입장에선 열화 된 후에는 10A에 해당하는 C-rate가 증가하게됩니다.
이게 무슨소리냐면, 100Ah셀이 열화되서 극단적으로 50Ah가 됬다고 가정해봅시다.
그러면 10A는 Fresh한 셀에서는 0.1C-rate였지만, 열화된 50Ah짜리 셀에선 0.2C-rate가 됩니다.
즉, 열화가됨에따라 동일한 전류여도 C-rate가 달라진다는 것입니다.
이런 논리로 보면, 열화가 진행되면, Fresh 셀기준으로 정한 기준 C-rate으로 넣게되면 상대적으로 높은 C-rate가 걸리는것처럼 보일 수 있습니다.
따라서, 열화가 되면 ICA의 그래프가 전체적으로 오른쪽으로 Shift됩니다.
[참고]
https://limitsinx.tistory.com/197

이 그래프는 당연한 이야기를 그려놓은 것입니다.
Rest시간이 길수록 Polarization이 Relax될 수 있는 시간이 확보되기때문에 충전시에는 다른것들대비 OCV가 낮게찍히고, 방전시에는 다른것들대비 OCV가 높게찍힙니다. (파란색)

최종적으로는 다양한 OCV를 구하는 CC 충/방전 구간에서의 DVA/ICA를 상기와 같은 그래프로 결과를 도출했습니다.
여기서 필자는 어떤 기준으로 OCV를 구해야하는가?에 대한 결론을 내놓습니다.
5%단위 OCV를 사용하되, DVA/ICA를 하기에는 Resolution이 떨어지므로 적절한 Interpolation, Extrapolation 기법을 사용하여 마치 1%단위로 OCV를 구한것마냥 정밀하게 구해서 쓰자라는게 최종 결론입니다.
Results
1. 데이터의 개수가 적당한가?
-> 낮은 C-rate로 충/방전하는것은 여기서 탈락됩니다. 데이터갯수가 너무많기때문에 Resolution이 쓸데없이 High하다고합니다.
2. DVA/ICA분석을 하기에 유의미한가?
-> SOC 5%단위로 하는건 Resolution이 떨어져서 DV Feature 구분이 잘안된다고 합니다.
3. 1%,0.5%단위 OCV는 실험시간이 너무 오래걸린다
-> 따라서 5% 단위 OCV를 활용하되, Interpolation을 아주 적절하게 잘해서 DVA결과도 잘나오도록 사용하자가 최종 결론입니다.
참조
1. M. Petzl and M. A. Danzer, "Advancements in OCV Measurement and Analysis for Lithium-Ion Batteries," in IEEE Transactions on Energy Conversion, vol. 28, no. 3, pp. 675-681, Sept. 2013, doi: 10.1109/TEC.2013.2259490.
댓글