논문 전문 : https://iopscience.iop.org/article/10.1088/1755-1315/161/1/012022/meta
[출처] H Ben Sassi et al 2018 IOP Conf. Ser.: Earth Environ. Sci. 161 012022
※ The picture and content of this article are from the original paper.
[논문요약]
A comparative study of ANN and Kalman Filtering-based observer for SOC estimation
이제까지 조금 헤비한 논문들을 많이 다루었어서, 머리도 식힐겸 간단한 분석비교논문 정리를 해보고자합니다.
여러종류의 Kalman Filter들 중, UKF(Unscented Kalman Filter)와 FCNN(Fully Connected Neural Network)의 SOC추정 정합성 비교를 해보는 논문입니다.
Purpose
SOC추정기법으로 가장 많이 쓰이는 제어기술인 Kalman Filtering과 너무복잡하지 않으면서도 괜찮은 성능을 보여주는 FCNN(MLP)를 구현하고 정합성을 비교하는 논문입니다.
2Ah 리튬이온배터리로 시험한 데이터를 기반으로 학습시켰으며, 1RC ECM(Equivalent Circuit Model)으로 Kalman Filter계열중 UKF를 사용합니다.
Contents

1RC로 배터리모델링을 진행하고, 상기와 같이 State Space Eqaution을 유도해주었습니다.
직렬저항성분은 Constant값으로 사용했으며, Levenberg Marquardt Nonlinear Least Square Algrithm으로 구줍니다.
1RC모델에, 고정 직렬저항을 쓰는것으로 보아, 상당히 간략화하여 모델링하는것을 알 수 있습니다.
이후, UKF(Unscented Kalman Filter)를 통해 SOC를 추정합니다.
※ UKF에 관해 정리해놓았던 글
https://limitsinx.tistory.com/80?category=907684
[제어시스템공학-12] Unscented Kalman Filter(UKF,무향칼만필터) 개념
[제어시스템공학-1] Average Filter(평균필터) https://limitsinx.tistory.com/69 [제어시스템공학-2] Moving Average Filter(이동평균필터) https://limitsinx.tistory.com/70 [제어시스템공학-3] Low Pass Fil..
limitsinx.tistory.com

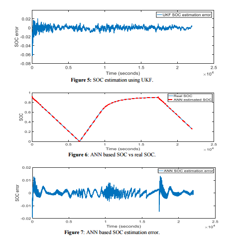
두번째로는, FCNN입니다. 1개의 Hidden layer와 3개의 배터리 대표 값 V,I,T만 넣어 SOC를 추정하는것으로, 이또한 아주 간략화된 모델입니다.

SOC 61%까지 CC(Constant Current)충전하고 이후 CV(Constant Voltage)로 만충전하는 실험데이터를 활용하였고, 방전데이터로는 회생제동(충전)없이 방전지향으로 다양한 전류로 하한전압까지 활용하여 데이터를 확보했다고합니다.
Results

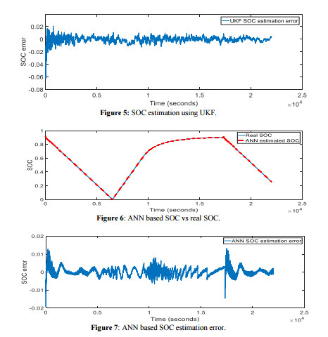
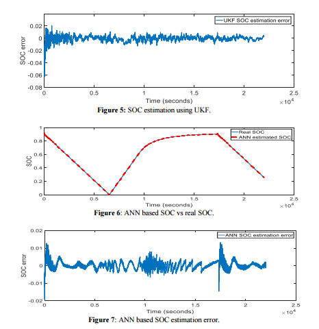
UKF기반의 SOC 추정정합성입니다.
y축을보면 SOC scailing을 해놓았기에 잘맞는것처럼 보일수밖에 없습니다.

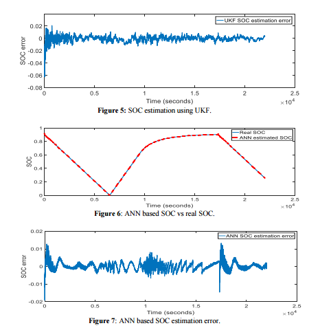
FCNN SOC추정결과와 오차입니다.
SOC error에 100배곱하고 %를 해준것이 퍼센테이지 오차입니다.
UKF는 최대 5%, 평균 1%의 오차가 발생했고, FCNN은 최대 1.8%, 평균 0.5%의 오차가발생했습니다.
위에서 정리했다시피, 극도로 단순화된 1RC 모델에 파라미터도 상수로 지정하여 학습했기때문에, 파라미터값에 민감한 Kalman Filter계열의 제어기법 특성상 오차가 많이발생할수밖에 없습니다.
필자도 이런부분을 인지하고, 정교한 파라미터추정을 진행하면 정확도가 FCNN보다 좋아질수있다고합니다.
UKF보다 더욱 필드에서 많이사용되는 EKF와 비교분석했으면 더욱 좋았을것이라 생각합니다.
또한, UKF는 매번 Sigma point를 추정해야하는관계로, Matrix연산때문에 Computational Cost가 크다고합니다.
FCNN보다 메모리는 덜 필요하지만, 저가형 CPU의 임베디드에서 Real time으로 쓰기에는 무리가 있을것으로 보입니다.
참조
1. H Ben Sassi et al 2018 IOP Conf. Ser.: Earth Environ. Sci. 161 012022
댓글