논문 전문 : https://ieeexplore.ieee.org/document/6811175
[출처] A. Hentunen, T. Lehmuspelto and J. Suomela, "Time-Domain Parameter Extraction Method for Thévenin-Equivalent Circuit Battery Models," in IEEE Transactions on Energy Conversion, vol. 29, no. 3, pp. 558-566, Sept. 2014, doi: 10.1109/TEC.2014.2318205.
※ The picture and content of this article are from the original paper.
[논문요약]
Time-Domain Parameter Extraction Method for Thevenin-Equivalent Circuit Battery Models
이전에 정리했던 논문은 라플라스 도메인에서 배터리 ECM의 파라미터를 추출하는 방안에 대해 제안했다면,
https://limitsinx.tistory.com/160
[IEEE-2019] A Parameter Extraction Method for the Thevenin Equivalent Circuit Model of Li-ion Batteries
논문 전문 : https://ieeexplore.ieee.org/document/8912326 [출처] M. Hossain, S. Saha, M. E. Haque, M. T. Arif and A. Oo, "A Parameter Extraction Method for the Thevenin Equivalent Circuit Model of L..
limitsinx.tistory.com
이 논문은 해당 논문보다 약 5년빨리 나온 논문으로, Time-domain에서 바로 파라미터를 추출하는 방법에 대해 다룹니다. 개인적으로는, 라플라스 도메인에서 추출한 논문이 조금더 심플하다고 느껴지지만 오래된 논문이니만큼 많은 이들에게 귀감을 준 논문입니다. 인용수도 높은편입니다.
Purpose
Introduction에서도 ECM의 파라미터를 추출하는 EIS나 Iteration을 통한 numerical한 해석은 너무 복잡하고 시간도 오래걸리므로, 간단하게 추출해내는 방법에 포커스를 맞춘다고 소개합니다.

n차 RC모델까지 추출할 수 있으며, ohmic voltage drop으로 R0를 구하고, Window를 그려가며(이전글에서 정리한) RC병렬회로들의 파라미터를 추출해나가는 방법은 동일합니다.
Contents

Ohmic voltage drop(R0)는 HPPC 전류 인가후, 무부하 시작 기점으로 첫 1초 혹은 100ms간의 급격한 분극회복량에 대해 저항을 구해줍니다.

이 논문의 재미있는 점은 바로 Time domain에서 바로 파라미터를 뽑아낸다는 것인데요

붉은색 사각형 부분이 1RC,2RC 파라미터를 추출하는 Window인데 이 논문은 특이하게도 윈도우 사이에 3tau1 정도의 간격(파란색사각형)을 두고 파라미터를 추출한다고 합니다.
그 이유는, 두개의 window를 바짝 붙여서 진행하게되면 이 전 window에서의 voltage drop이 그다음 window에도 영향을 줄 수 있기 때문이라는데요
100ms혹은 10ms단위로 센싱된 데이터값이라면 이렇게 진행해도 될것같지만, 1s단위로 센싱된 데이터 값이라면 이렇게 3tau1 만큼이나 간격을 둘 시, 오차가 커질 수 있을것 같습니다.
(전기화학반응에서는 1초도 엄청나게 긴시간이기에 분극회복에는 상당히 많은 영향을 줄수있는 시간입니다.)
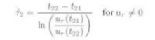
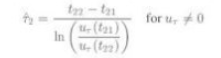
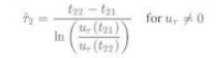
-첫번째 window의 시작 : t11
-첫번째 window의 끝 : t12
-두번째 window의 시작 : t21
-두번째 window의 끝 : t22

t11,t12는 사용자가 원하는 window사이즈에 따라 값을 정해주는것이기에, 해당 지점들에서의 전압값도 확인할 수 있습니다. (V(t11), V(t12))
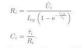
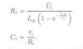
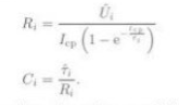
그러면 하기와 같은식으로 tau(time constant)값을 얻을 수 있습니다.


이렇게 얻어낸 tau값과 변수들로, 하기 수식을 통해 R,C 파라미터를 추출할 수 있는데요, 이 논문은 여기까지 도달하기 위한 과정들을 수학적으로 풀어냅니다.

여기서 중요하게 봐야할 부분이, 저항값입니다.

분모를 보면 전류에 시상수와 관련된 수식이 하나 더 곱해져있는데요
HPPC 전류인가이후, 첫번째 Window와 두번째 Window는 아무래도 이전 CP(Current Pulse)에서 영향을 받는 정도가 차이가 있을것입니다.
시간적으로, 두번째 Window가 영향을 덜받으니 전류의 값을 어느정도 내려주는게 응당 합리적이라고 보입니다.
하지만, 해당 논문의 저자는 본인이 실험한 환경에서의 tau1=22, tau2 = 570으로 두었으며,
tcp는 360sec입니다. (1C-rate로 10% HPPC 시험을 위해 6분(360sec)씩 전류 인가)
이렇게되면 첫번째 윈도우에서의 빨간색 박스친부분은, (1-exponential(-360/22)) ~= 1로 나오는게 맞지만
두번째 윈도우에서는 (1-exp(-360/570)) ~= 0.5로 전류의 영향을 기존보다 두배나 적게받는다는 계산이 나오게됩니다.
그럼 저항은 두배가 크게나오겠죠
저는 개인적으로 연구를 진행할때는 이 텀은 지우고 파라미터를 추출하고 있습니다. 실제로 이렇게 진행을 하면 두번째 R값이 너무크게나오고 C값은 반대로 너무 작게나오게 되는 경향이 보이더라구요
이건 셀의 케미컬차이 / time constant를 어떻게 잡아주느냐와 같이 다양한 인자들의 영향을 받기에 이렇다할 결정은 연구자 본인이 하는것이라 생각합니다.
Results

아주 낮은 오차율로 전압을 정확하게 추종하는 것을 확인할 수 있습니다.
물론 HPPC시험을 기준으로 파라미터를 추출한것이기에 HPPC에서는 당연히 잘맞고, 실제 주행패턴이나 랜덤한 전류 인가시에 오차가 커질것입니다.
아쉽게도 시험결과표를 보면 특정 C-rate 충/방전위주로 시험 진행 및 검증된듯 합니다.
해당 논문에서는 온도/SOC/C-rate별로 모두 파라미터를 추출해야한다고 합니다. 저는 여기에 SOH까지도 추가되어야 한다고 생각하고 있습니다.

참조
1. M. Hossain, S. Saha, M. E. Haque, M. T. Arif and A. Oo, "A Parameter Extraction Method for the Thevenin Equivalent Circuit Model of Li-ion Batteries," 2019 IEEE Industry Applications Society Annual Meeting, 2019, pp. 1-7, doi: 10.1109/IAS.2019.8912326
2. M. Hossain, S. Saha, M. E. Haque, M. T. Arif and A. Oo, "A Parameter Extraction Method for the Thevenin Equivalent Circuit Model of Li-ion Batteries," 2019 IEEE Industry Applications Society Annual Meeting, 2019, pp. 1-7, doi: 10.1109/IAS.2019.8912326
댓글