논문 전문 : https://ieeexplore.ieee.org/document/9268111
[출처] Z. Deng, X. Hu, X. Lin, L. Xu, Y. Che and L. Hu, "General Discharge Voltage Information Enabled Health Evaluation for Lithium-Ion Batteries," in IEEE/ASME Transactions on Mechatronics, vol. 26, no. 3, pp. 1295-1306, June 2021, doi: 10.1109/TMECH.2020.3040010.
※ The picture and content of this article are from the original paper.
[논문요약]
General Discharge Voltage Information Enabled Health Evaluation for Lithium-Ion Batteries
배터리 Health Indicator(이하 HI)에 관해 지속적인 관심을 두고있었는데, 아무래도 사용할 수 있는 데이터들이 제한적이다보니 별다른 특이한 논문들은 발견해오지 못했습니다. 보통 ICA, DVA, Q(V), OCV, rDV, Entropy, std(sth)...같은 류였거든요. 조금 특이한 HI들도 있었지만 물리적으로 유효하다는 생각이 드는것은 딱히 없었습니다. 이 논문도 마찬가지로 이들 HI중 하나를 사용하는것이긴 하나 상당히 내용이 깔끔하고 구체적으로 정리되어있어 한번 정리해보아야겠다고 생각했습니다.
Purpose
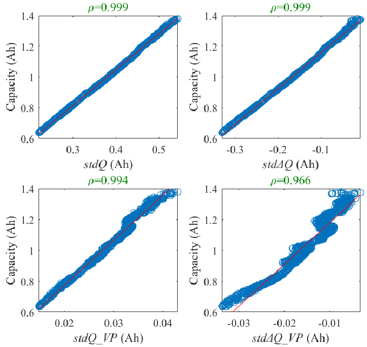
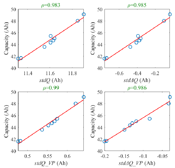
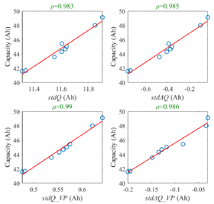
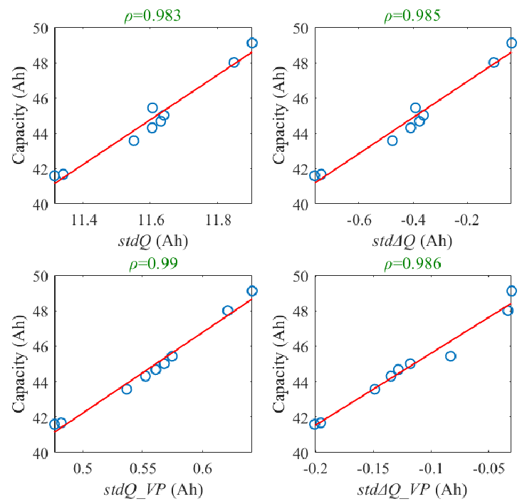
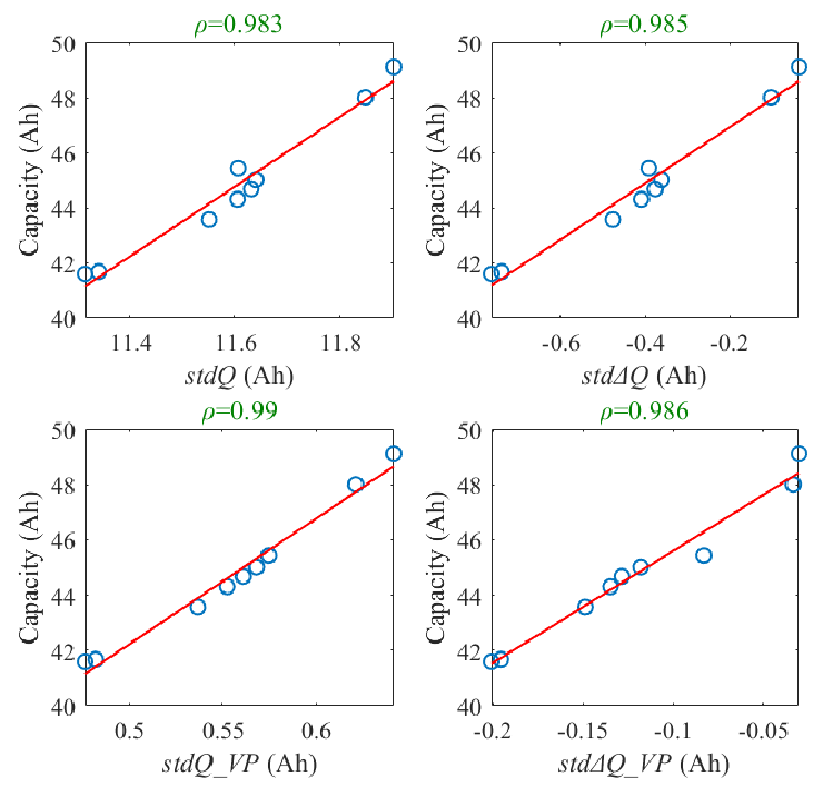
배터리 SOH와 correlation이높은 HI로 알려진 std(Q(V)), std(▵Q(V))를 사용합니다.
하지만 해당 논문의 필자는 실제 EV의 Dynamic Current Profile에서 사용하기 위해 V를 Terminal Voltage가 아닌 OCV추정값으로 하여 구간별 Partition을 두고 사용했다고 합니다.
이를 통해 UDDS Pattern에서 평균 0.98이상의 높은 Correlation을 얻었습니다.(SOH-HI)

Contents
논문의 도입에서 일반적으로 사용하는 HI들을 몇개 정리합니다.
(CCCV Charging Time, Voltage Curve Slope, Voltage Change during equal time, duration of equal voltage interval...)
하지만 위의 방식들은 특정 전류시퀀스 인가가 필요하다거나, 필드에서는 적용하기 어려운 상당히 많은 제약조건(예를 들면 온도변화, 수냉각부품 미고려, 다른 모든조건 통일 필요)이 있다고 하며, EV의 Dynamic 주행 상황에서 필요한 Generalized된 HI가 필요하다고 합니다.
대안으로 Q(V)와 ▵Q(V)를 사용한다고 하는데 다른논문*에서 SOH와 이 HI들의 연관성에 대해 증명해놓아서 별도로 설명하진 않는다고합니다.
여기서 필자의 2가지 신규 테크닉이 들어갑니다.
1. Voltage Filtering
(*:"K. A. Severson, "Data driven prediction of battery cycle life before capacity degradation")
이 방법 또한 Dynamic Current 상황에서는 사용하기 어려운 점이 전압이 위아래로 너무 튀기때문에 정확한 값을 얻기 어렵다고 합니다.
따라서, 필자는 1RC-ECM(Equivalent Circuit Model)을 구성하여 OCV를 실시간으로 추정하고, 이 OCV를 Q(V)의 V값으로 볼 것이라고 합니다.
방법론적으론 Motivation이 이해가 되나 1RC-ECM의 OCV추정성능에 대한 오차도 고스란히 HI연산에 반영될것을 생각하면 OCV plateau문제가 치명적인 LFP에서는 쓰기어렵지 않을까 생각했는데 필자는 LFP로 증명을 해놓았습니다.
2. Voltage Partitioning
가용전압의 전체 범위를 동일한 전압범위로 나누어(Partitioning) 구간별 Q(V)를 구합니다.
(예를들어, 2.5~4.2V 1700mV를 100등분하여 17mV씩 나눕니다.)
상기 과정을 통해 최종적으로 얻은 두가지 HI들의 std를 구함으로써 SOH를 추정하는 방식으로 correlation이 상당히 높게나오는것을 확인할 수 있습니다.

Results
Monotically Decrease하는 SOC/OCV구간이 필요하다는 전제조건과 Voltage Filtering이 잘되어야 한다는 상당히 파워풀한 가정이 필요하기에 아쉽긴하지만, 이정도의 전제는 잘 조절하면 실제 양산 BMS에도 적용해봄직하다는 생각이 들었습니다.
마냥 뜬구름 잡는 소리는 아니지만, Q(V)와 ▵Q(V)를 구하기위해 전류, 온도, 전압대역 같은 여러 인자들을 균일하게 해주어야 비교가 가능하다는 점에서 조금 고민이 필요한 논문이였습니다.
EV에는 적용이 쉽지않지만 ESS와 같은 정출력, 정전류로 주로 충방전을 하는 대상에는 적용하기 괜찮을듯합니다.
참조
[1] Z. Deng, X. Hu, X. Lin, L. Xu, Y. Che and L. Hu, "General Discharge Voltage Information Enabled Health Evaluation for Lithium-Ion Batteries," in IEEE/ASME Transactions on Mechatronics, vol. 26, no. 3, pp. 1295-1306, June 2021, doi: 10.1109/TMECH.2020.3040010.
댓글