논문 전문 : https://www.sciencedirect.com/science/article/abs/pii/S0378775313020624
[출처] Lei Pei, Tiansi Wang, Rengui Lu, Chunbo Zhu, Development of a voltage relaxation model for rapid open-circuit voltage prediction in lithium-ion batteries, Journal of Power Sources, Volume 253, 2014, Pages 412-418,
ISSN 0378-7753, https://doi.org/10.1016/j.jpowsour.2013.12.083.https://doi.org/10.1016/j.jpowsour.2021.230024.
※ The picture and content of this article are from the original paper.
[논문요약]
Development of a voltage relaxation model for rapid open-circuit voltage prediction in lithium-ion batteries
Voltage Relaxation Model에 대해 찾아보고있는데
결국, 부하상태에서 아주 단시간의 Rest 데이터만가지고 몇시간~24시간후의 OCV를 추정하는것을 Relaxation Model이라고 합니다.
보통 n-order RC ECM으로 구현을 하며, ECM에 시상수에 변화를 준다던가 혹은 극단적으로 많은 RC병렬회로 설계를 통해 OCV 추정정확도를 높여나가는 방식입니다.
※5차 RC모델을 통한 Relaxation Model
https://limitsinx.tistory.com/207
Purpose
해당 논문은 2-order RC ECM을 사용하며, RC를 적게 사용하는 대신 Time constant(시상수)를 Time variable하게 두고있습니다. 이것은 사실상 무한대차원의 RC ECM을 쓰는것과 동일합니다.
그 이유는, 2차 혹은 N차 RC모델을 설계하는 이유 자체가 커패시턴스와 저항마다 정해지는 시상수에 따른 전압의 변화추이를 추정하고자 하는것인데, 이 시상수를 Time Variable하게 바꾼다는것은 결국 시상수의 개수가 시간의 갯수만큼 있다는 것이고 이것은 결국 무한대차원의 RC모델과 사실상 동일한 의미입니다.
논문은 읽으면서, 이런식으로 진행을해서 정합성을 높이는것도 도움이 되겠지만 그럼 C-rate/온도/SOH/SOC라는 4차원의 조건들에 대해, 한차원 더늘려서 5차원으로 시상수 및 파라미터 추정을 하겠다는 것이기에, 필드에 적용하기에는 어렵겠다는 느낌을 많이 받았습니다. (물론, 논문에서도 이 문제를 알고있기에 상기 조건들을 고정시켜버립니다.)
Contents

등가회로모델에 관해서는 이제까지 워낙 많이 정리했기에, 별도로 추가정리는 하지 않겠습니다.
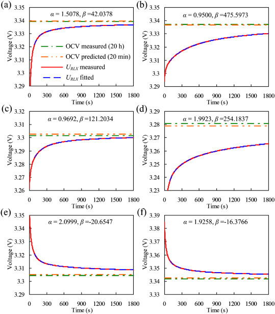
상기 그래프는 시상수를 변화시키지 않고 OCV를 추정할때 전압입니다. 보시면, 당연한 이야기지만? 정해진갯수의 고정시상수로는 오차가 일부 발생하고 있는 모습입니다.

물론, 필자도 시상수를 매번 Time Variable하게 매 시간마다 새로 구할수는 없다는것을 알고있기에
이 시상수 자체를 선형회귀식으로 만들어버립니다.
즉, Time constant = A * time + B 라는 형태로 구성하며, A와 B는 시험데이터 기반 커브피팅으로 도출됩니다.
따라서 전기화학적 의미는 전혀 없습니다.
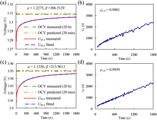
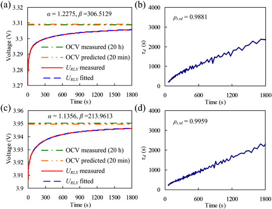
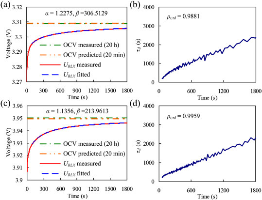
상기 그림의 오른쪽 그래프들이 시간에 따른 Diffusion 시상수 그래프입니다.
시간이 지날수록 셀이 안정화되고 Polarization이 줄어들기에 당연한 이야기지만, 시상수는 시간에 대한 Correlation이 아주 높다는것을 확인할 수 있습니다.
(시간이 지날수록 시상수가 커지는것도 동일한 맥락에서 이해가 됩니다. 기존대비 67%의 값에 도달하는 시간이 점점 길어진다는 것은 결국, 분극이 빠지는 시간이 점점 길어지는것을 의미하죠)

논문의 필자는 2RC ECM 모델에서 전해질과 전극표면에서 발생하는 Fast Electrochemical 반응들을 Charge Transfer RC로 정했고, Diffusion RC를 전극 Intercalation 및 내부에서의 화학적 반응으로 두었습니다.
Ohmic resistance(직렬저항)이나 Charge Transfer RC는 단시간내에 끝나기때문에 필자는, Diffusion RC의 Time constant만 Time Varaible하게 두겠다고 합니다.

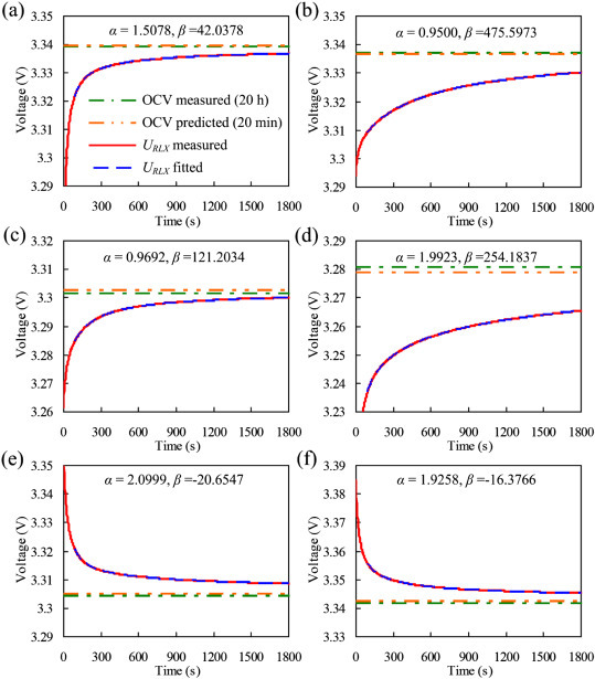
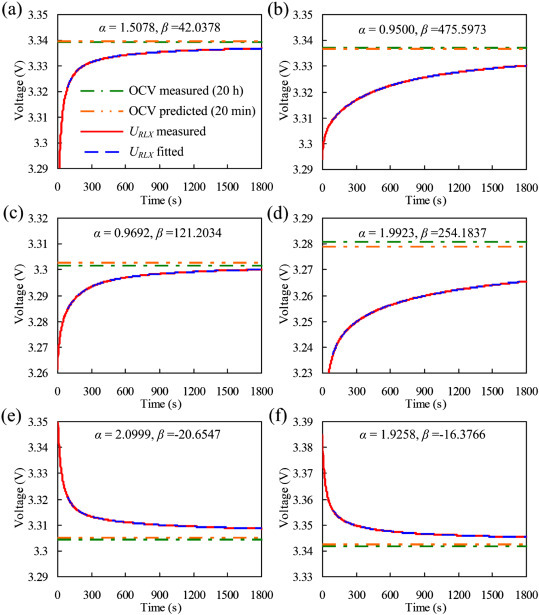
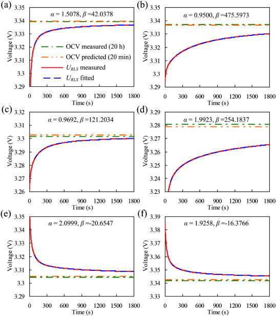
이런식으로 Time Variable Tiem Constant를 적용한 2RC 모델을 통해 추정한결과 입니다.
alpha와 beta는 Time Constant = A * time + B의 A와 B에 해당합니다.
확실히, 고정 시상수의 경우보다 잘따라가는것을 확인할 수 있는데요,
y축 resolution이 10mV이기때문에 꽤나 크다는것을 확인할 수 있는데, 5RC ECM을 통한 Relaxation Model에서와 마찬가지로 1mV 전후수준의 오차를 보여준다고합니다.
Results
시상수와 시간간의 Correlation을 선형적인 관계로 찾아낸것은 유의미하나,
시험조건이 너무 제약적인 상황에서의 결과물이기에, 실제 필드에 적용시키기에는 많이 무리가 있을것으로 생각됩니다.
또한 Curve Fitting으로 OCV를 잘따라가게 강제로 맞추어 놓은 상황이기에,
시상수를 변수처리했다는것은 단순히 Fitting을 위한 파라미터 수 증가(자유도 증가)정도로 보여지기도합니다.
참조
1. Lei Pei, Tiansi Wang, Rengui Lu, Chunbo Zhu, Development of a voltage relaxation model for rapid open-circuit voltage prediction in lithium-ion batteries, Journal of Power Sources, Volume 253, 2014, Pages 412-418,ISSN 0378-7753, https://doi.org/10.1016/j.jpowsour.2013.12.083.https://doi.org/10.1016/j.jpowsour.2021.230024.
댓글