논문 전문 : https://www.sciencedirect.com/science/article/abs/pii/S037877531931290X
[출처] Bernhard Liebhart, Lidiya Komsiyska, Christian Endisch, Passive impedance spectroscopy for monitoring lithium ion battery cells during vehicle operation, Journal of Power Sources, Volume 449, 2020, 227297, ISSN 0378-7753, https://doi.org/10.1016/j.jpowsour.2019.227297.
※ The picture and content of this article are from the original paper.
All picture and figures used in this article are sourced from publicily available on the internet.
[논문 요약]
Passive Impedance spectroscopy for monitoring lithium-ion battery cells during vehicle operation
이 논문은 제가 이전에도 여러번 정리했었는데, 다시한번 또 읽고 정리하게 되었습니다.
되게 재미있는 논문이다라고 생각하고 있었는데, 저도 Signal Processing쪽도 관심이 많고 연구를 하고 있다보니, 못참고 이 논문을 직접 구현하게 되었습니다.
구현할겸 논문도 다시한번 읽었고, 또 새로운 느낌을 많이 받아서 한번더 재정리하게되었습니다.
Contents

일단, 이 논문은 얼핏보면 "주행데이터 FFT해서 임피던스구한거아니야??" 라고 이해하기 쉬운데요,
그러면 이 논문의 가치를 10%도 제대로 이해하지 못했다고 보시면 됩니다.
FFT를 하는것은 Signal Processing상 그냥 주파수 도메인으로 Domain Transformation 하는것일 뿐, 이 논문의 진정한 가치는 "불규칙한 주파수 특성을 가지는 주행 프로파일을 기준으로, 어떻게 일관성 있는 물리적 특성의 임피던스를 뽑아낼수있는가?" 입니다.

그중 핵심 아이디어가 "WOSA"입니다.
Welch's Overlapping Segment Averaging 이라고 신호처리에선 익숙한기법입니다만, 신호를 조금씩 Stride하면서 겹치는 Window를 통해 점점 FFT해가면서 평균 (혹은 Weighted Sum)을 하는 방식입니다.
이 기법을 차량에 적용하였고, 또한 H1 Impedance, H2 Impedance로 구분하여 PSD_vi/PSD_ii, PSD_vv/PSD_iv로 Power Spectral Density기반 임피던스를 구한다는점도 재미있습니다.
또한, 이 H1, H2를 가지고 Coherence를 연산하여 Noise에 얼마나 강건한지까지도 재점검하는데요, 이러한 여러가지의 단계들을 최종 통과하여 PSD들을 연산하고, 마지막에 최종 임피던스를 계산하게 됩니다.

해당 데이터는 AUDI와 함께 협업하여 획득하였다고하는데요,
AUDI가 그렇게까지 양산차에 정밀한 센서를 쓰는지(시험차인지)는 모르겠으나, 거의 1ms에 가까운 Time Resolution으로 센싱을 하고있는것으로 추정됩니다.
본 논문에서 거의 `kHz단위까지 추정한다고 하기 때문입니다.
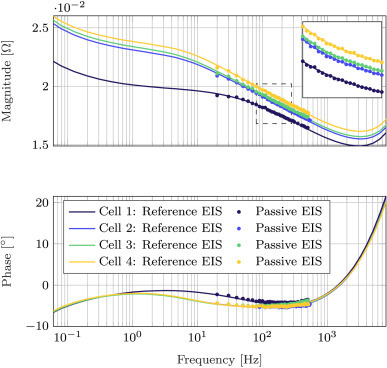
그리고 이걸로 KK나 Extrapolation 기법을 통해서 Reference EIS와 비교하는데요, 이도 곧 잘 비슷하게 나오는것을 확인하실 수 있습니다.
저는 이러한 연구에 굉장한 흥미를 가지고 있습니다.
EIS가 배터리가 아니라도, Electrochemical 비파괴 Analysis를 하는데 강력한 Tool이라는것도 익히 알고있으나,
BMS Onboard를 하겠다고하는 여러업체들의 EIS 실측 결과를봐도 많이 아쉬울뿐더러, 일정수준이라도 양산 Application의 단가에 직접적인 영향을 준다는것도 Negative하기 때문입니다.
따라서, 이러한 Passive Impedance쪽에 굉장히 관심이 많은데, 그쪽 연구하시는 분들께는 Reference 논문이지 않을까 생각됩니다.
Results
굉장히 흥미롭고, 눈여겨 봤지만
못참고 직접 구현까지 해버린 재미있는 논문입니다.
저자는 AUDI 차량의 EV BMS로 수행했지만, 주파수가 균질하게 PWM 제어될 수 있는 ESS쪽에서 더욱 강력한 기법이 될 수 있지 않을까 생각됩니다.
참조
[1] Bernhard Liebhart, Lidiya Komsiyska, Christian Endisch, Passive impedance spectroscopy for monitoring lithium ion battery cells during vehicle operation, Journal of Power Sources, Volume 449, 2020, 227297, ISSN 0378-7753, https://doi.org/10.1016/j.jpowsour.2019.227297. https://doi.org/10.1016/j.est.2023.109500.
댓글