논문 전문 : https://www.sciencedirect.com/science/article/abs/pii/S0378775324011406
[출처] Alireza Goshtasbi, Ruxiu Zhao, Ruiting Wang, Sangwoo Han, Wenting Ma, Jeremy Neubauer, Enhanced equivalent circuit model for high current discharge of lithium ion batteries with application to electric vertical takeoff and landing aircraft, Journal of Power Sources, Volume 620, 2024, 235188, ISSN 0378-7753, https://doi.org/10.1016/j.jpowsour.2024.235188.
(PDF) Enhanced Equivalent Circuit Model for High Current Discharge of Lithium-Ion Batteries with Application to Electric Vertica
PDF | Conventional battery equivalent circuit models (ECMs) have limited capability to predict performance at high discharge rates, where lithium... | Find, read and cite all the research you need on ResearchGate
www.researchgate.net
※ The picture and content of this article are from the original paper.
All picture and figures used in this article are sourced from publicily available on the internet.
[논문 요약]
Enhanced equivalent Circuit model for high current discharge of lithium-ion batteries with application to electric vertical takeoff and landing aircraft
eVToL ECM에 관한 논문입니다. 한상우 박사님이라고 한국분도 저자에 포함되어 있으신데요,
Joby Avaiation이라고 하는 자타공인 UAM FAA쪽 First Mover쪽에서 나온 논문입니다. 저도 이쪽 Application은 기존 EV/ESS와는 많은 차이가 있다고 생각하기에 논문을 f/up하는 중인데요, Joby Avaiation 논문이 First Mover임에도 생각보다 많이 공개하는 편이고, 논문들을 볼때마다 이 회사가 실제 기술력이 있다는것을 느끼고 있습니다.
본 논문은 ECM(Equivalent Circut Model)을 설계시, 특히 eVToL에서 필요한 Landing Hover Capability라는 KPI를 맞추기위해 어떤식으로 추가적인 Component를 추가했는가에 대한 연구입니다.
Contents

먼저 본 논문에 대해 정리하기전, 연구 목표에 대한 간단한 Background 설명을 드리고자합니다.
EV,ESS와는 다르게 eVToL은 출력 사용하는 정도가 굉장히 정직하면서도 일관성 있습니다.
가장 중요한것이 Vertical Take-off 인데요, 기존의 비행체들이 활주로를 주파하며 가속을 얻어 점진적으로 고도를 올리는것이 아니라, 수직으로 바로 이착륙을 해야한다는 큰 차이점이 있습니다.
즉, 간단하게 예를들면 멀리뛰기를 해야하는데, 기존의 비행체들은 도움닫기를 하고 멀리뛰기를 할 수 있었다면, eVToL은 제자리 멀리뛰기 느낌입니다.
따라서, 수직-이착륙시에 엄청난 배터리 고출력을 요구하고, 이때의 발열/열화 컨트롤 뿐만 아니라, 비행을 다 하고 Landing을 할때도 충분한 출력을 유지해야하며, 혹시 모를 과전압 상승에 의한 급격한 출력저하를 절대적으로 Fail-Safe해야한다는 기존 배터리 Application Product들과의 큰 차이가 있습니다.
본 논문은, ECM의 정확도를 올린다 이런 느낌이 아니라, 이러한 비행 완료 이후 Landing시 Hovering Capability를 확보하기 위한 관점의 연구라고 보시면 됩니다.

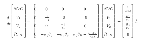
따라서 본 논문은 (a)와 같은 기존 N-RC ECM에서, 추가적인 R_LD라는 저항텀을 붙여 이 Landing Hover Capability KPI 확보를 위한 전압 보정이 필수적이라고 합니다.
논문의 저자들이 말하는 바로는, 기존 EV는 최대 5C 수준으로 이정도의 전류 사용 대역에서는 2-RC ECM도 충분히 전압추종을 잘 따라갈 수 있었다고합니다.
하지만, Joby Avaition에서는 Vertical Take-off시 8C이상 까지도 사용하는지, 5C 이후~8C까지는 기존의 모델링으로는 정상적인 전압 추정이 불가, 특히 저 SOC에서 강한 출력으로 쓸때의 전압추종이 불가능하다고합니다.
저자는 저SOC에서의 5C이상 High C-rate를 사용하게 되면, Lithium Depletion(LD)이 발생하여 비상식적인 Polarization이 증가할 수 있다고 하며, 이 부분을 정확하게 예측(추정) 할 수 있어야, 고객분들의 안전에 문제없이 eVToL이 정상 Landing을 할 수 있다고합니다.

그러기 위해서 추가한 R_LD Term의 State Space Equation은 상기와 같습니다.
Theta, Signa, LD Time Constant같은 여러 변수들이 있지만, 제가 봤을때 핵심은 이러한 수식들이 Eta(Over potential)에 연동되어 있다는 점입니다.
즉, 이것이 본 논문의 가장 특이한 점인데, 기존의 LUT(Look-Up Table) 기반으로 선제적으로 전압을 추정하는 ECM이 아니라, 본 논문은 오히려 Eta가 생각보다 많이 벌어졌을때 후행(Passive)적으로 전압을 따라가게하는 것입니다. (물론 theta, sigma, 모두 LUT입니다만 순서가 중요합니다.)
쉽게 얘기하자면, 인가중인 전류를 보고 바로 전압을 추정하는것이 목적이었다면,
본 논문은 인가중인 전류를 보고 전압을 추정하고 난 다음, 그 추정한 전압이 일정 이상 오차가 발생하면 후행적으로 보정하는 Term을 추가했다는 것입니다.

이때 과전압에 의한 저항(R_LD)가 발산하면 안되니, Sigmoid Function을 사용하여 약간 Butler Volmer 느낌을 주려는듯한? 느낌을 받았고 과전압이 충분히 포화되면 올리지 않겠다는것으로 수식이 구성되어 있었습니다.
이 R_LD Term을 추가하여서는 상기와 같이 비선형성이 강한 저SOC High C-rate영역에서도 전압이 잘 따라가는것을 확인할 수 있으며, 이러한 Term들은 사전 여러 C-rate에서의 HPPC를 통해 Fitting된다고 합니다.
Results
방법론보다는 연구 목적 자체가 굉장히 인사이트가 있는 논문이였습니다.
eVToL의 Landing Hover Capability라는 KPI를 달성하기 위해서는 이러한 방식이 반드시 필요하겠구나 라는 연구의 스토리가 잘 전달되었고, 그 과정과 결과 또한 멋지게 나왔다고 생각합니다.
또한, eVToL의 특성상 열화가 되었을때 어떻게되는가 보다는 SOH는 일단 차처하고 Fresh기준으로 확실하게 맞추려는듯한 생각도 들었습니다.
참조
[1] Alireza Goshtasbi, Ruxiu Zhao, Ruiting Wang, Sangwoo Han, Wenting Ma, Jeremy Neubauer, Enhanced equivalent circuit model for high current discharge of lithium ion batteries with application to electric vertical takeoff and landing aircraft, Journal of Power Sources, Volume 620, 2024, 235188, ISSN 0378-7753, https://doi.org/10.1016/j.jpowsour.2024.235188.
댓글