| 일 | 월 | 화 | 수 | 목 | 금 | 토 |
|---|---|---|---|---|---|---|
| 1 | 2 | |||||
| 3 | 4 | 5 | 6 | 7 | 8 | 9 |
| 10 | 11 | 12 | 13 | 14 | 15 | 16 |
| 17 | 18 | 19 | 20 | 21 | 22 | 23 |
| 24 | 25 | 26 | 27 | 28 | 29 | 30 |
| 31 |
- Battery AI
- 리튬배터리
- Incremental Capacity Analysis
- Deep learning
- 배터리 모델링
- AzureML
- 배터리 AI
- tensorflow
- 머신러닝 코드
- 머신러닝
- 배터리 EIS
- Battery Deep Learning
- 딥러닝 코드
- Machine Learning
- 배터리 열화
- 배터리 진단
- bms
- 배터리 연구
- 배터리 딥러닝
- Azure
- 코드로 이해하는 딥러닝
- Battery SOH
- 칼만필터
- 딥러닝
- eis
- state of health
- Battery Management System
- 코이딥
- Battery modeling
- 텐서플로우
- Today
- Total
Engineering insight
[Power Sources-2014] Thermal runaway features of large format prismatic lithium ion battery using extended volume accelerating rate calorimetry 본문
[Power Sources-2014] Thermal runaway features of large format prismatic lithium ion battery using extended volume accelerating rate calorimetry
Free-Nomad 2023. 1. 26. 00:10논문 전문 : https://www.sciencedirect.com/science/article/abs/pii/S0378775314000159
[출처] Xuning Feng, Mou Fang, Xiangming He, Minggao Ouyang, Languang Lu, Hao Wang, Mingxuan Zhang,
Thermal runaway features of large format prismatic lithium ion battery using extended volume accelerating rate calorimetry,Journal of Power Sources,Volume 255,2014,Pages 294-301,ISSN 0378-7753,
https://doi.org/10.1016/j.jpowsour.2014.01.005.
※ The picture and content of this article are from the original paper.
[논문요약]
Thermal runaway features of large format prismatic lithium ion battery using extended volume accelerating rate calorimetry
Minggao 교수님쪽에서 나온 열폭주 논문입니다.
인용수도 아주 높고, 저도 아주 큰 인사이트를 느꼈던 오랜만에 보면서 쾌감이 들었던 논문입니다.
Review 논문들처럼 학술적으로 아주 잘 정돈되어, 교과서 같다는 느낌은 아니지만 Wow Factor가 있는 신선한 논문입니다.
Minggao 교수님쪽 논문은 아주 좋은점이, Reivewer와 독자가 무엇을 원하는지 정확하게 알고있다는 점입니다.
Internal/External Short Circuit이나 열폭주와 같이 실제 모사하기가 어려운 부분들에 대해서도 많은 경우에 직접 실험을 하거나, 혹은 최소한 상황을 모사하여서라도 직접 실험을 하여 검증결과를 내놓기 때문입니다.
심지어는, Internal Short Circuit을 모사하기 위해 각 셀마다 병렬로 저항을 연결해놓고 실험검증한 논문도 있습니다.
https://limitsinx.tistory.com/237
Purpose
배터리 대용량 각형셀(20Ah 수준)을 직접 열폭주 시키며 저항/전압 변화를 모니터링 하는 논문입니다.
제가 인사이트를 느낀 부분은, 급격한 전압 Drop 이후 약 15~40초후 열폭주가 시작한다는 것을 직접 실험을 통해 확인한 점입니다.
최근, 테슬라 모델3도 열폭주에 의해 한국에서 폭발한적이 있었는데요, 배터리는 케미컬 제품이기에 열폭주에 대해 완전히 자유로울 순 없습니다. 물론, 전극이나 분리막 세라믹 코팅 같은 방식을 통해 최대한 막으려곤 하지만 엔진을 백년넘게 만들었어도 불나는 차가 있듯, 어떤 문제 현상에 대해 공학 제품은 100%라는것은 있을수가 없습니다.
Anyway, 엔지니어에게 필요한것은 열폭주가 본격적으로 발생하기전에 고객들에게 사전에 고지를 띄우고 대피할 수 있는 시간을 만들수 있느냐 없느냐도 아주중요한 문제입니다.
즉, 열폭주가 발생하는것을 막을 수 없다면 고객에게 "현재 배터리가 위험합니다. 가까운 갓길 주차후 3분내에 대피바랍니다." 라는식으로 적어도 고지를 띄운다면 인명피해는 막을 수 있기때문입니다.
따라서, 열폭주 조기진단을 위한 수많은 연구들이 존재하는데 이 논문은 이런 접근방식들에 골든타임을 추가해준것입니다.
"급격한 전압 Drop 이후 15~40초 이후 열폭주가 발생한다"
즉, 급격한 전압 Drop이 모니터링 되는 시점부터 엔지니어 입장에서는 최대 40초까지 시간을 벌수 있다는 점입니다.
Contents

해당 논문은 열폭주의 메커니즘에 관해 5단계로 분류합니다.

1단계 - Anode 전극으로부터 리튬이 De-intercalation 되는 과정(~80'C)
: Anode의 Lithium은 (de)intercalation 과정에 대해 온도로부터 자유로울 수 없습니다.
예를들면, Anode Surface쪽에 Li-plating이 발생하였더라도 가역적인 부분들은 온도 상승시 다시 Anode로 intercalation되는 부분들도 있습니다.
즉, 이 과정에서는 고온으로 감에 있어서 Anode로부터 Lithium이 De-intercalation되며 Capacity Fading이 발생합니다.
Capacity fading은 reversible/irreversible 섞여서 발생합니다.
2단계 - SEI Protection layer Decomposition과 전해질, Anode에 직접적으로 열이 전달되는 단계 (90~130'C)
: 1단계 이후 지속적 온도상승에 따라, 온도 변화율에 따른 민감도가 커지며, Capacity Fading은 지속적으로 발생합니다.
SEI 분해가 일어나며, 전해질과 전극에 직접적으로 열이 전달됩니다.
이 시점 즈음부터 발생하는 Capacity Fading은 irreversible합니다.

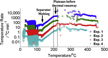
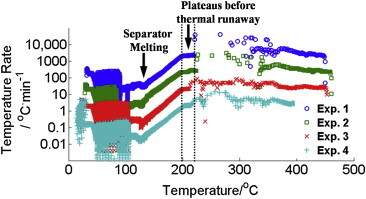
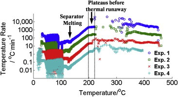
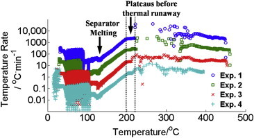
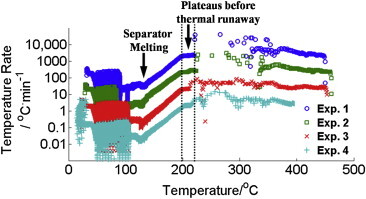
3단계 - 분리막 용해 (~150'C)
: Micro Short Circuit의 시작지점입니다. 고온에 의해 분리막이 용해되니기 시작하며, PE전해질의 기체화에 따라 배터리 셀 내 압력이 높아져 물리적 압력에 의해서도 분리막이 영향을 받기 시작합니다.
3단계 이후부터는 본격적으로 열폭주 전조 단계들이 빠르게 일어납니다.
4단계 - 전극 활물질이 지속적으로 소모, 분리막 완전 붕괴 (~220'C)
: 분리막이 용해되감에 따라, 전극간 반응이 있으며 전극활물질이 지속적으로 소모됩니다.
저자에 따르면 NCM이 다른 Cathode Chemical대비 이 단계에서 안정성이 높다고합니다.(240'C~ 그이상까지)

5단계 - 바인더, 전해질, 전극 분해 (~770'C)
: 온도가 exponential하게 상승하며, 저자의 표현에 따르면 눈깜짝할 사이 온도가 800'C이상 도달한다고 합니다.
상기 그래프를 보면, Temperature 변화율이 가장 높은 지점임을 확인할 수 있습니다.

저항 관점에서는, 열폭주가 발생하는 과정에서 꾸준히 내부저항이 증가합니다.
그 이유는, 배터리 셀 내 4대 기재중 분리막은 Ion conductivity를 위해 존재하는데, 열폭주가 발생할수록 분리막의 세라믹 코팅이 벗겨지고 이온 전도를 위해 체적을 증가시키는 목적인 Porosity(다공성)이 열에 의해 녹아 평평해지기 때문에 이온 전달이 어려워지게 되고 이때문에 전기적 저항이 점차 증가 되기 때문입니다.
하지만, MSC 및 ISC와 같은 쇼트가 발생하여 분리막이 제 구실을 못하게 되면 저항은 전기적 감소하게 됩니다.

해당 열폭주 실험은, 파우치셀 2개를 묶어 각형과 같이 만들어 진행했습니다.
파우치 셀 2개 사이에 Thermocuple 2개를 넣어 측정했으며, 일반적인 정상 상태에서는 1'C 내외 편차를 보이다가 열폭주 과정에서 최대 520'C까지의 편차가 발생한다고 합니다.
또한, Cathode Chemical 별 열폭주 안정성에 대해서도 정리를 해놓았는데
LFP,LMO > NCM .> NCA, LCO순으로 열폭주에 안정성을 보였다고합니다. LFP가 삼원계보다 안정적인것을 일반적으로 알려져 있는 사실인데, 필자에 의하면 삼원계중에서도 특히 NCM은 의외로 어떤 경우에서는 LMO보다도 높은용량 대비 열적 안정성이 좋았다고합니다.
Results
배터리 열폭주에 대해 잘 정리된 논문입니다.
과정과정에 대해 상세한 메커니즘까지 정리되진 않았지만, 간단명료하고 직접 실험을 통한 사실검증까지 기승전결이 확실한 논문입니다.
특히, Voltage Drop 이후 15~40s까지 Golden Time이 있다는 점에 대해서는 아주 큰 인사이트를 얻을 수 있었습니다.
참조
[1] Xuning Feng, Mou Fang, Xiangming He, Minggao Ouyang, Languang Lu, Hao Wang, Mingxuan Zhang,
Thermal runaway features of large format prismatic lithium ion battery using extended volume accelerating rate calorimetry,Journal of Power Sources,Volume 255,2014,Pages 294-301,ISSN 0378-7753,
https://doi.org/10.1016/j.jpowsour.2014.01.005.
