논문 전문 : https://cjme.springeropen.com/articles/10.1186/s10033-018-0268-8
[출처] Yu, QQ., Xiong, R., Wang, LY. et al. A Comparative Study on Open Circuit Voltage Models for Lithium-ion Batteries. Chin. J. Mech. Eng. 31, 65 (2018). https://doi.org/10.1186/s10033-018-0268-8
※ The picture and content of this article are from the original paper.
[논문요약]
Comparative Study on Open Circuit Voltage Models for Lithium-ion Batteries
LFP의 OCV에 관해 공부를 하고자 찾아보던중.. OCV에 관해서 정리된줄알고 보다가 의외로 LFP의 OCV를 추정하는 18개 방법에 대해 비교검토해놓은 해당 논문을 발견하게되어 읽어보게 되었습니다. EKF나 어떤 고차원적인 방법에 의한 OCV추정기법들을 비교하는건 아니고, polynomial한 여러차원의 다항식과 같은 형태로 추정하는 방법들을 비교해놓은 논문으로, 저에게는 크게 유의미한 내용은 아니었지만 이런 모델링 방법을 통해 오히려 LFP의 케미컬한 특성에 대해 고심해보는 방향에서 몇가지를 얻을 수 있는 논문이였습니다.
Purpose

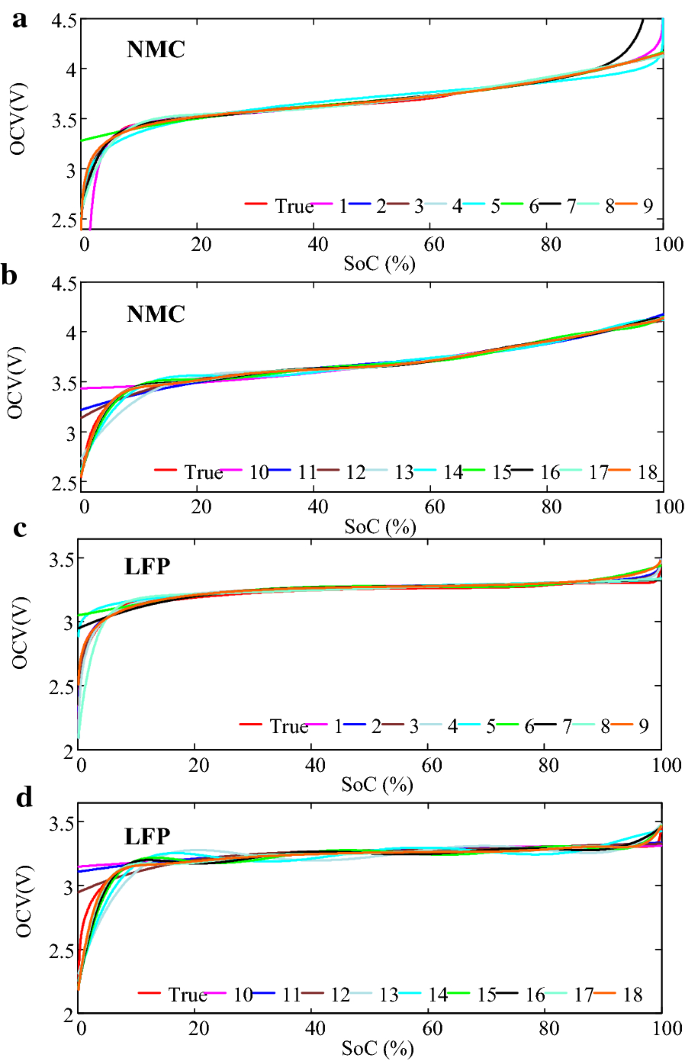
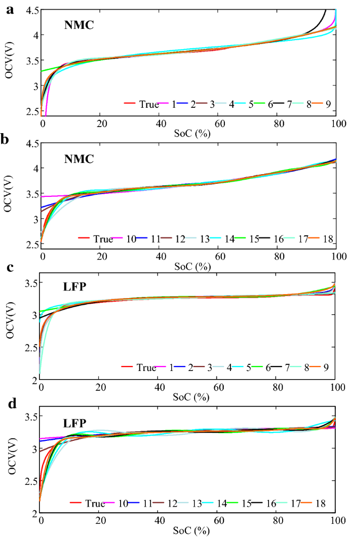
현재 배터리 필드에서 많이 쓰이는 Cathod chemical로는 NCM, NCA, NCMA, LFP 가있습니다.
삼원계 배터리 케미컬 셀은 OCV곡선이 아주 예쁩니다. Flat한 구간도없고, SOC가 오를수록 OCV도 올라가는 형태로 EKF나 전압 기준으로 SOC를 추정하는 여러 기법들에는 아주 좋은 케미컬이죠
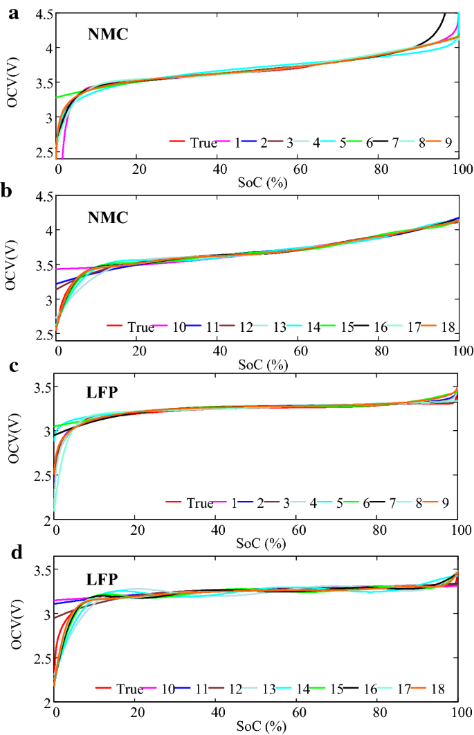
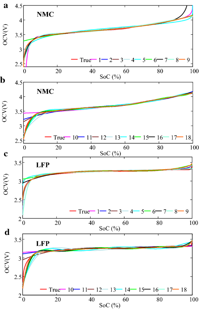
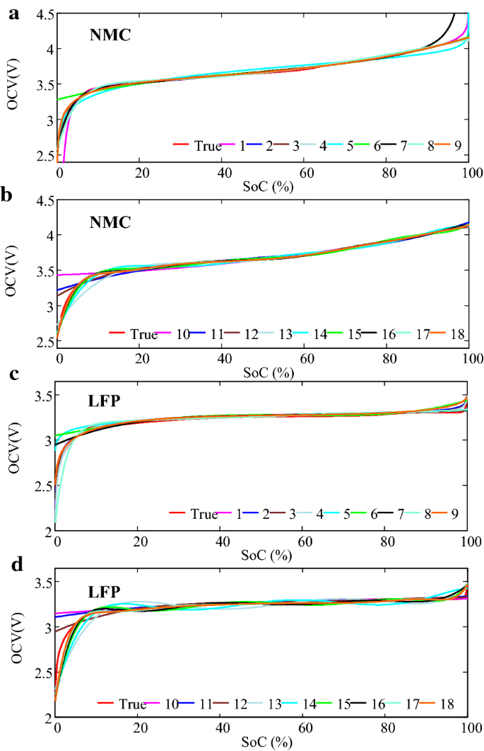
하지만, LFP는 상기 그림에서도 확인할 수 있다시피 대부분의 SOC영역에서 Flat할 뿐만아니라, 고SOC 부분에서는 오히려 OCV가 낮아지는 경우도 있습니다.
이런 경우, 배터리 알고리즘 엔지니어들은 아주 골치아파집니다.
그 이유가, 여러 dvdq나 이전 NATURE논문에서도 나온 △Q(V)같은 임의의 변수들을 가공해서 만들수도 있겠지만, 보편적으로 배터리의 SOC를 추정하는데 사용하는 변수는 V,I,T 입니다.
즉, 전류/전압/온도 인데 온도는 조금 논외로 치고 가장 크리티컬하게 작용하는건 전류와 전압이죠
그런데 이중 전압을 SOC추정에 못쓰게되는겁니다 .왜냐면, SOC의 대부분의 영역에서 변화가 없으니까!
그렇다고 실제 차량에 적용되는 BMS에 전류적산만해서 SOC를 얻어낼 순 없습니다.
따라서, LFP의 SOC를 어떻게 좀 잘 추정할수없나...가 이쪽분야의 고민거리입니다.
해당 논문은, 이러한 문제점은 충분히 인지하고 있고(논문 Introduction부터 이게 SOC추정에 큰 영향을 미친다고 서술), 여러가지 OCV 추정기법들을 비교 검토함으로써 LFP셀은 어떤 모델이 그나마 가장 OCV를 잘 추정할수있는지에 대해 정리합니다.
Contents

해당 논문에서는 OCV를 구할때, 1hour rest후 일정부분 방전, rest 이걸 반복하는 구조가 아니라, 0.05C-rate로 극단적으로 낮은 전류의 충전/방전을 진행하여 두개를 더해버림으로써 OCV를 구해버립니다.
논문을 읽으면서 느끼는 부분은, 중국쪽의 논문은 대부분 OCV를 이렇게 구하는 것같습니다.
이렇게 구해진 OCV를 18개의 모델중 어떤게 가장 잘 추정할 수 있을까? 라는게 해당 논문의 요지인데,
NCM과 LFP모두를 다룹니다. 하지만, 저는 LFP위주로 정리를 하고자합니다.
필자는 OCV에 영향을 주는 요인이 4가지 있다고합니다.
1. SOH
2. Temperature
3. SOC
4. OCV points(몇%간격 OCV를 구하느냐에 따라 각 모델별 추정 정확도가 다르다고함)


논문에서는 크게 OCV추정 모델로 하기 3가지로 정리하고, Dimension의 차이로 18개의 모델을 정리합니다.
1. Only Polynomial
2. Exponential + polynomial
3. Power + Polynomial
18개모델에서 검증해본 결과, LFP 셀은 18번모델이 가장 잘 맞다고 하는데요, 12차원의 Polynomial한 식인지라 복잡도와 수식의 자유도가 증가할수록 잘 따라가는것처럼 보였다고 이해를 했습니다.
또한, 단셀로 검증한것이기에 전류적산으로 SOC를 계산한것이 거의 정확하기에 배터리 시스템으로 제어를 할때와는 이부분에서 많이 차이가 날것으로 보여집니다.(셀간 전압편차 포함)
Results

해당 논문에서 유의미하게 얻어낸점은 하기와 같습니다.
1. OCV 간격을 무조건 좁게한다고 좋은게 아니다.
→ OCV간격은 5%단위로 추출하는게 좋다고 합니다. 그 이유는, 실험적인 정밀도도 요구되지만 SOC를 1%단위 혹은 그 이하로 뽑게 될 경우 시간도 오래걸릴 뿐더러 추정 정확도도 크게 차이가 안난다고합니다.(오히려 실험 정밀도 문제로 1%단위로 뽑은게 더 안좋게 나온 경우도 있다고합니다.) 특히 LFP가 이것에 영향을 많이받는다고 합니다.
2. OCV는 온도별로 달라지는데 특히 저온에서 크게 바뀐다.
3. SOH와 Temperature는 온도에 영향을 준다. (당연하지만, 이걸 무시하고 개발하는 회사,학교 多)
4. NCM은 평균 SOC 1%당 OCV 4~5mV이상의 변화를 보여주며, LFP는 평균 0.5mV정도의 차이를 보인다.
→ LFP의 Flat함을 정량적으로 제시함이 인상적
참고
1. Yu, QQ., Xiong, R., Wang, LY. et al. A Comparative Study on Open Circuit Voltage Models for Lithium-ion Batteries. Chin. J. Mech. Eng. 31, 65 (2018). https://doi.org/10.1186/s10033-018-0268-8
댓글