논문 전문 : https://www.nature.com/articles/s41598-020-66424-9
[출처] Naha, A., Han, S., Agarwal, S. et al. An Incremental Voltage Difference Based Technique for Online State of Health Estimation of Li-ion Batteries. Sci Rep 10, 9526 (2020). https://doi.org/10.1038/s41598-020-66424-9
※ The picture and content of this article are from the original paper.
This article is more of an intuitive understanding than academic analysis.
[논문 요약]
An Incremental Voltage Difference Based Technique for Online State of Health Estimation of Li-ion Batteries
삼성전자 인도연구소 쪽에서 나온 논문입니다.
해당 저자들이 여기에 느낌만 조금 바꾸고 Transfer Learning을 해서 제출한듯한 2022년 Scientific Report에 논문을 낸게있는데, 두 논문의 요지는 충전 중 분극 발생량을 통해 SOH를 추정하는 것입니다.
다만, 일반적으로 단자전압에서 OCV를 뺀 분극이 아니라, 셀을 만들고 SEI형성 전 완전 첫 사이클에서의 저항을 측정하여 그것은 상수값으로 제외하고 그 이후에 발생하는 분극량을 V_sei라고 부르며, 이것과 SOH의 연관성을 찾습니다.
Contents

본 논문의 핵심은 V_sei 입니다.
위 그림의 (f)에서 보시다시피, 충전 중 특정 용량 변화(△Q, 본 논문은 SOC의 1.5%에 해당하는 용량)에 대한 분극량의 변화량을 봅니다.



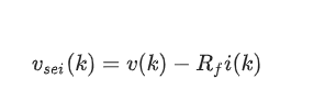
V_sei는 단자전압에서 R_f*전류(과전압)를 뺀 값을 의미합니다.
여기서 R_f는 SEI도 형성되기전 완전 첫 사이클에서 하한전압까지 방전하고 회복되는 전압량을 통해 구한 저항값을 의미합니다. 즉, SEI없이 전극과 전해질 사이 아무 장벽이 없을때 완전 Fresh할때의 순수 저항입니다.
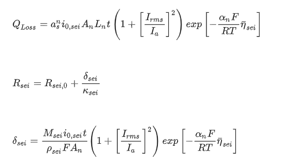
그리고 이후 생기는 저항을 모두 △R_sei라고 가정합니다.
즉, 리튬플레이팅이나 LLI/LAM/전극 구조붕괴... 여러가지 상황에따라 저항이 달라질 수 있지만, 본 논문은 일단 첫 사이클 저항을 제외하곤 SEI 형성 및 두께 증가에 의한 저항이라고 봅니다.(그렇게 보도록 (b)와 같이 모델링 수행)

즉, 기존 논문들은 V_t(단자전압) - OCV를 해서 발생한 과전압 + 히스테리시스 모두를 퉁쳐서 V_p(분극)이라고 하는게 일반적이였다면, 본 논문은 이것을 2개로 나누어 SEI형성 전 저항(Fresh 저항)과 그 이후의 저항(R_sei) 이렇게 나누었다는 점이 재미있었습니다.

그리고, SOC 1.5%에 해당하는 용량 간격 별로 V_sei를 계산하고 직접과의 차이를 구함으로써 △V_sei를 구하는데, 이것이 위의 오른쪽 그림과 같이 SOH에 따라 증가하는 관계성을 확인했다고 합니다.
그런데 저는 이 논문과 조금 다르게 생각했던 점이, 이 논문은 모든 화학적 변화가 "선형적"이라는 전제를 깔고있다는 점입니다.(애초에 모델링을 커패시터 없이 저항 2개만 붙였기에, 이부분에서 큰 한계가 있음.)
※ 논문 뒷부분에 Extrapolation쪽에서 Butler-Volmer수식과 함께 거의 선형으로 보간하는것도 마찬가지
위 그림만 보더라도, CC충전을 하며 특정 SOC 간격에 대한 분극 발생량의 변화량을 보는데 C-rate에 따라서 과전압이 꼭 선형적으로 변하지 않습니다.
이게 무슨말이냐면, 논문에서는 0.8C/1C/1.2C 비슷비슷한 수준에서 C-rate를 바꾸어가며 했다고 하는데, Butler-Volmer식만 보더라도 전류/온도변화가 비선형적으로 발생하는 구간에 가면 당연히 과전압이 달라지게 됩니다.
1C로 동일한 SOC간격에서 △V_sei를 구했을때랑, 0.2C에서 △V_sei를 구했을때랑은 값 차이가 나게 될것입니다.
즉, 비슷비슷한 C-rate에 대해 검증한 결과를 가지고, C-rate에 대한 인자의 특성은 Linear하기 때문에 Robustness를 확보했다라고하는것은 어불성설이라는 이야기입니다. (이 논문이 잘못됬다기보단, 대부분의 논문이 실제 필드에선 쓸수 없는 이유입니다.)

또한, 열화에 따라 SOC와 무관하게 저항이 Linear하게 증가한다면 △V_sei는 열화에따라 일정하게 나와야합니다.
이게 무슨말이냐면, SOHc와 저항열화가 Linear한 관계를 가진다면 열화에 따라 분극 발생량도 Linear하게 증가하게 됩니다.
즉, 분극량(V_sei_1)이 4mV인 구간이 있었고 이게 열화가 되어 6mV(4mV + 2mV(열화))라고 가정할때,
V_sei_2는 6mV에서, 열화가 되어 8mV(6mV + 2mV(열화))가 되었다고 가정하면, 열화가 되었던 안되었던 △V_sei는 2mV입니다.(6-4=8-6)

논문에서는 이렇게 결과가 나오지 않았기 때문에 아무래도 열화 중, 저항 성분들이 SOC에 따라서도 비선형적으로 바뀐다는것을 가정하고 있다고 생각합니다.
위 그림을 보면, SOC에 따라 V_sei가 SOC 20%이상부터는 어느정도 Linear하게 나오는것을 볼 수 있는데, 이 부분에서 x축을 SOC로 y축을 R_i(혹은 △V_sei)로 해서 C-rate마다 어떻게 나오는지 모두 보여주었으면 더욱 좋지않았을까 라는 생각이 듭니다.

다시 논문으로 돌아오면, SOHc와 △V_sei,평균 온도가 관련이 있다는것은 알아냈으니, ANN을 통해 학습하여 추정합니다.
Regression 하는 많은 방식 중, ANN을 썼을 뿐 특이사항은 없습니다.


또한, 초기 400사이클 데이터만으로도 뒷부분 사이클수에 대한 SOH를 예측할 수 있다는게 포인트인데, Butler-Volmer 및 Simplified analytical experessions(Capacity Loss) 수식을 통해 Extrapolation을 진행합니다.

결과적으로는 3%내의 오차를 보이고, MAE는 1%내로 SOH를 추정해내는 것을 확인할 수 있습니다.
Results

SEI 형성 전, 만방전 시 과전압 회복량을 통한 R_i를 따로 선정한다는 점은 재미있었습니다.
다만, 이 값은 상수인지라 그냥 V_p를 쓰는것과 큰 차이가 있는지는 잘 모르겠습니다.
왜냐하면, 본 논문처럼 모델링하여 두개 직렬 저항 텀만 붙은 Linear한 수식을 도출하게 되면, 결국 두 시점의 분극 전압을 빼는것이나 두 시점의 V_sei를 빼는것이나 똑같아 지게 됩니다.
※ V_p - V_p이전 = (V_sei - R_i*i(상수)) - (V_sei이전 - R_i이전*i이전(상수))= V_sei - V_sei 이전
논문의 스토리 빌드업을 위한 과정은 좋았으나, 결국은 SOHc 열화에 따른 저항 변화량에 대한 관계식을 딥러닝 한 논문으로 보입니다.
참조
[1] Naha, A., Han, S., Agarwal, S. et al. An Incremental Voltage Difference Based Technique for Online State of Health Estimation of Li-ion Batteries. Sci Rep 10, 9526 (2020). https://doi.org/10.1038/s41598-020-66424-9
댓글