논문 전문 : https://ieeexplore.ieee.org/document/9584562
[출처] J. Estaller et al., "Battery Impedance Modeling and Comprehensive Comparisons of State-Of-The-Art Cylindrical 18650 Battery Cells considering Cells’ Price, Impedance, Specific Energy and C-Rate," 2021 IEEE International Conference on Environment and Electrical Engineering and 2021 IEEE Industrial and Commercial Power Systems Europe (EEEIC / I&CPS Europe), Bari, Italy, 2021, pp. 1-8, doi: 10.1109/EEEIC/ICPSEurope51590.2021.9584562.
※ The picture and content of this article are from the original paper.
[논문요약]
Battery Impedance Modeling and Comprehensive Comparisons of State-of-The-Art Cylindrical 18650 Battery Cells considering Cells' Price, Impedance, Specific Energy and C-Rate

원통형 배터리의 임피던스, 에너지, 가격에 관해 정리한 논문입니다.
시중에 파는 양산형 원통 배터리들의 가격까지 비교한다는 측면에서 아주 흥미로운 논문이였습니다.
Purpose
18650배터리를 Warburg Impedance를 포함하여 모델링을 시행하며, 임피던스 모델을 만들때 어떤 모델이 가장 효과적이였는지소개하고, 가격과 C-rate, 에너지밀도 측면에서 종합적으로 여러회사들의 원통셀을 비교하는 논문입니다.
Contents
임피던스 모델에 관해 공부를 하던 중, 우연히 찾게된 논문입니다.
Cells' Price라는 제목에 이끌려 보게되었는데요, 기대하지 않게도 모델링에 관한 큰 인사이트를 얻게 된 논문입니다.

일반적으로 임피던스 모델이라하면, N-order RC ECM모델에 와버그 임피던스를 추가하는 형식으로 진행하는데요
여기서, 와버그 임피던스를 어디에 추가하는게 가장 효율적인지에 대해 분석을 해놓았습니다.
논문에서도 정확히 캐치하고 있는 점이, 모델의 모든 회로소자들은 온도와 SOC/SOH에 의존적인 성향을 가지고 있습니다.
이 때문에 정밀한 모델링이 어려운데요, 이 논문도 그 한계점을 모두 돌파해낼수는 없었으나, 임피던스를 따라가는지 본다는 측면에서는 정확도가 98.5%정도 나왔다고합니다.
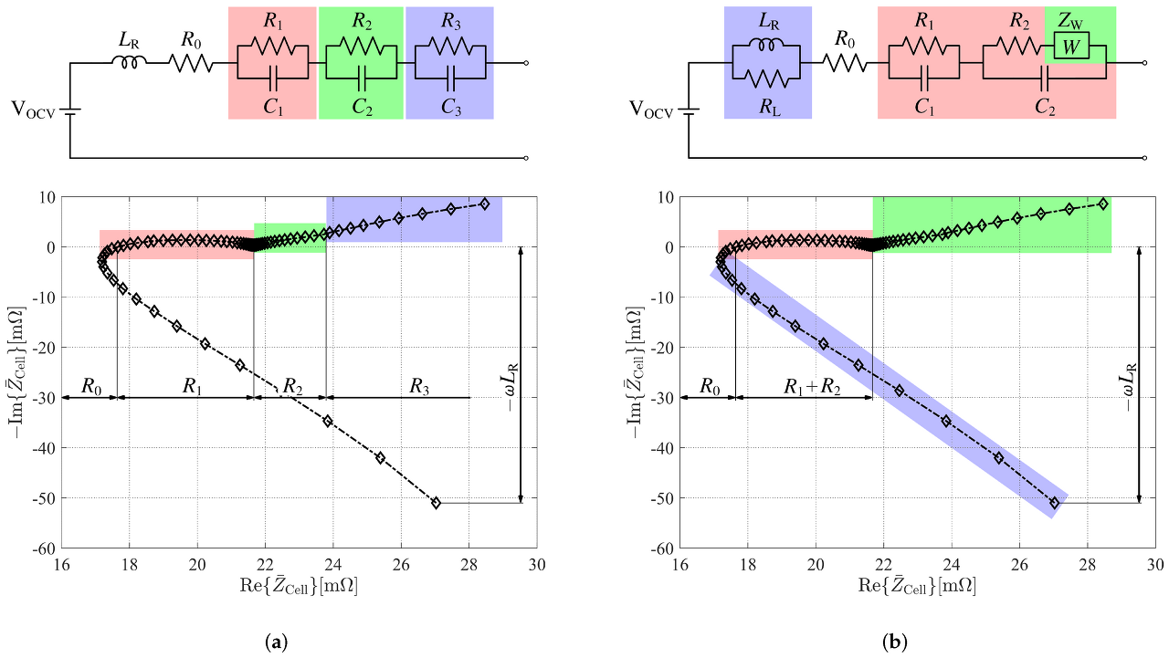
상기 그림의 왼쪽 모델은 1Hz미만의 Diffusion Impednance를 담는것과 스위치 온오프나 Solder Joints에 의해 발생하는 5kHz 이상의 유도 고주파 성분을 표현하는데 한계가 있었다고 합니다.
이런 부분을 해결하고자 Warburg Impedance(저주파 문제 해결)를 추가하였고, 인덕턴스를 직렬연결이 아닌 신규 저항과의 병렬로 배치(고주파 문제 해결) 함으로써 임피던스 추정 정확도를 획기적으로 올릴 수 있었다고 합니다.
또한, 하기와 같은 비교도 인상깊었습니다.

가격과 여러가지 성능 측면에서 여러 배터리 셀 업체, 모델을 직접 거론하며 비교하는것인데요
논문 내에는 각각의 Cathode, Capacity와 같은 조금더 세분화된 스펙이 모두 기재되어있을 뿐 아니라, 각각에 대해 임피던스 모델을 구축하고 각 파라미터들을 모두 정리하기도 해놓았습니다.
결과적으로는, 비슷한 18650 사이즈의 셀임에도 불구하고 가격이나 성능 차이가 나는 부분에 있어서는 임피던스, 내부저항 및 에너지밀도, 양극재 기재와 같은 부분에서 큰 차이가 있었으며, 가격이 높다고 배터리 셀의 성능이 무조건적으로 좋은것이 아니라, 배터리 셀 안전을 위한 기타 부자재가 많이들어가서 성능이 낮음에도 비싼 셀들도 있었다고합니다.
따라서, 단위 셀당 가격이 아닌, 에너지밀도당 가격으로 봐야 더욱 정확한 기준으로 분석할 수 있다라고 합니다.
(심지어는 Protection Circuit까지 내재된 셀도 있다고합니다.)
Results
해당 논문의 그림이 모두 제공되지는 않아, 저작권 문제로 공개된 그림 위주로 정리를 했습니다.
실제로 논문을 한번 출력해서 보시면, 가격별 비교 및 내부기자재, 임피던스 모델의 파라미터값까지 모두 자세하게 정리되어 있어서 아주 흥미롭습니다.
원통형이 최근 18650 21700 46800까지 테슬라의 주도하에 Main Stream으로 가고자 하고 있는데요
저는 아직까지는 원통형 자체에 회의적입니다만.. 파우치, 각형, 원통형 중 배터리 표준이 어떤게 되느냐에 따라 양산단가가 크게 떨어질 수 있기때문에 지속적인 연구 동향 모니터링은 하고 있습니다.
참조
[1] J. Estaller et al., "Battery Impedance Modeling and Comprehensive Comparisons of State-Of-The-Art Cylindrical 18650 Battery Cells considering Cells’ Price, Impedance, Specific Energy and C-Rate," 2021 IEEE International Conference on Environment and Electrical Engineering and 2021 IEEE Industrial and Commercial Power Systems Europe (EEEIC / I&CPS Europe), Bari, Italy, 2021, pp. 1-8, doi: 10.1109/EEEIC/ICPSEurope51590.2021.9584562.
댓글